中心議題:
- 采用超級電容的獨立光伏系統分析與設計
- 充電控制策略及超級電容參數
- 獨立式光伏路燈系統簡單計算
- 使用超級電容的太陽能LED路燈系統的組件建模
1 引言
太陽能路燈系統在道路照明中有很高的價值。使用超級電容的太陽能LED路燈系統屬于復合能源系統,該系統中的電能傳輸需要在線控制以保證系統的正常運行。圖1為超級電容的太陽能LED路燈的系統結構。控制器作為核心部件管理著各個部件之間的能量傳輸。為保證蓄電池充放電可靠、高效,同時滿足照明需求,控制器需要對系統中的電能進行管理。在弱太陽光照的情況下,由于光伏電池產生的能量不穩定,不能有效的對蓄電池充電。
若選擇合適的控制方式,使光伏電池產生的能量先蓄積在超級電容里,到適當的時候再將存儲的能量通過脈沖或恒流的方式向蓄電池充電,可以有效的提高系統的太陽能利用率。所以合適有效的控制策略是該控制器的關鍵技術。
本文在獨立式光伏路燈系統簡單計算方法的基礎上,以提高在弱太陽光光照情況下發電效率為目標,提出一種采用了超級電容的獨立光伏系統設計方法。本文通過對使用超級電容的太陽能LED路燈系統各部分組件進行建模,在有充放電控制器控制的情況下,使用計算機仿真對比在各種太陽光照情況下系統的發電情況,其驗證結果向使用超級電容的太陽能LED路燈的配置設計提供理論依據。
2 系統分析與設計
使用超級電容的太陽能LED路燈系統由光伏電池陣列、光伏控制器、超級電容、充電控制器、蓄電池、電流變換器、LED負載組成,連接結構如圖1所示。超級電容跨接在直流母線和地線之間,用于保持直流母線的電壓,并緩沖光伏電池提供的過大能量,在適當的時候放電以滿足蓄電池的充電需要和負載的供電需要。

2.1 光伏電池特性分析
光伏電池等效電路模型如圖2所示。

圖2中Iph為光生電流,IVD為流過二極管的電流,VD為Rsh的端電壓,Rsh和Rs為等效的并聯電阻和串聯電阻,V、Is分別為光伏電池元的輸出電壓和電流。根據此等效模型可得到光伏電池的數學模型,并根據數學模型得到光伏電池特性曲線,如下圖3所示。

圖3a為光伏電池在不同光照下的電流-電壓(I-V)曲線,圖3b為光伏電池在不同光照下功率-電壓(P-V)曲線。如圖3.b所示,在一定的光照情況和節點溫度下,光伏電池有唯一的發電最大功率點,因此需要光伏控制器進行最大功率跟蹤(MPPT)控制以獲得最大發電效率。
[page]
2.2 光伏控制器的分析
光伏控制器在設計時通常采用boost升壓電路,以產生比光伏電池板兩端更高的電壓,以利于向蓄電池充電;但當光照不足時,若要使蓄電池能夠繼續充電,該控制電路會導致光伏電池的工作點脫離最大功率輸出點,但這樣又會使得光伏路燈系統的發電效率下降。因此設計控制系統時需預設弱光段的閾值,以實現在弱光下能通過超級電容緩沖來保證蓄電池正常充電的目的。

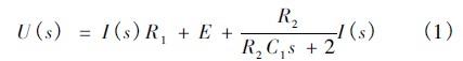
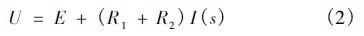
圖4為蓄電池等效電路模型,根據此圖可以看出蓄電池存在最低充電電壓,從而使升壓電路的輸出也存在一個最低電壓。由圖4可得蓄電池小信號數學表達式為:

穩態時,變換器充電電壓為:

式中(R1+R2)為蓄電池內阻,R2為常數,R2隨不同的充電電流和電荷容量變化而變化。

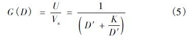
boost工作電路如圖5所示,根據電感L伏秒平衡和電容C充放電能量守恒有:

其中Vs為輸入電源電壓,D為PWM波占空比D+D′=1,icharge為蓄電池充電電流,U為充電電壓,Rs為變換器在負載端等效電阻,T為周期時間。
由式(3)(4)可得:

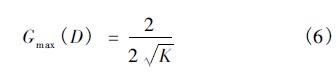
式中D+D′=1,K=Rs/(R1+R2);可得當達到最大值,此時最大增益為:

由于該電路為升壓電路,G最小值為1,可得K取值必須小于0.25。在系統設計時根據蓄電池參數,由式(6)算出,能對蓄電池充電的升壓電路最小輸入電壓為:

式(7)中,Voc為蓄電池最低充電電壓。
[page]
若直接采用光伏電池對蓄電池充電,則當光照較弱時,為了追蹤最大功率,在存在其他干擾因素的同時其輸出電壓會不穩定,導致光伏電池在充電時難以保持在Vzmin上,最后導致系統在該光照范圍內不能對蓄電池正常充電。如圖6中兩曲線分別為晴、陰兩種情況下100W光伏電池可產生的最大功率曲線;陰天的時候,光伏電池在最大功率跟蹤情況下,輸出功率在較低功率B、C區間內抖動,造成對蓄電池充電不可控。本文通過采用超級電容,把這部分不穩定的輸出能量蓄積起來,再到滿足一定的電壓條件時,通過升壓電路把超級電容中的能量釋放到蓄電池。這種采用超級電容的方式可以提高在弱太陽光照下的發電效率。

3 充電控制策略及超級電容參數
3.1 充電控制策略
圖7為蓄電池充電控制策略。該策略在低光照情況下采用超級電容電壓的滯環比較控制策略,以超級電容兩端電壓作為反饋采樣信號。若超級電容兩端電壓低于設定下限值Voff,則停止向蓄電池充電,光伏控制器采用最大功率跟蹤對超級電容充電;當超級電容電壓充到足夠大為Von時(Von>Voff),以蓄電池的三段式10小時充電法向蓄電池充電;若此時持續低光照,則當超級電容電壓重新下降到下限值Voff時,再次停止向蓄電池充電,如此循環;在足夠光照情況下,當超級電容的電壓超過Von時,系統對蓄電池以三段式10小時充電法充電,同時超級電容電壓也會繼續上升,這時控制器保持超級電容的電壓值不超過新的上限值Vmax。

3.2 充電參數計算
獨立式光伏系統在設計時,需要考慮該系統應用場所的日照條件、電氣設備等。然后根據負載所消耗能量決定光伏電池容量和蓄電池容量。
在獨立式太陽能路燈系統中,光伏電池的容量選擇如下式(8):

蓄電池的容量選擇如下式(9):

式(8)(9)中I為負載所需電流,T為負載每日工作小時數。Ta為平均日照時間。t為連續雨天數,Ksafe為安全系數,Ksoc為蓄電池容許放電深度,η為變換器效率。按三段式10小時充電法,在恒流充電階段,充電電流icharge為0.1Cbattery。則恒流充電階段,充電功率為:

按光伏電池容量可得其滿功率工作時輸出功率為:

由上,采用超級電容電壓滯環比較控制法,超級電容向蓄電池充電一次最短時間為td,根據能量守恒有:

在本系統中光伏控制器和采用boost電路。由式(7)可得根據光伏電池的弱光下最大功率點工作電壓計算Von上限。根據蓄電池浮充電壓及超級電容的漏電流確定Voff。最后可得超級電容的容量:

[page]
4 仿真實驗
仿真實驗示例采用60WLED路燈,按以下參數設計:路燈連續工作時間為8小時,平均日照時間為4小時,安全系數為0.76,光伏控制器效率為0.85,連續雨天數為4日,蓄電池允許放電深度為0.5,充電控制器效率為0.85。若選用48V蓄電池,根據式(9)計算得蓄電池容量為:157Ah。光伏電池發電容量為:188W。選用開路電壓為17V的光伏電池。由前面的推導選擇Von=40V,Voff=30V。由式(13)計算,為保證每蓄電池充電一次持續時間至少為60s,超級電容值需大于0.127F。
根據以上數據在仿真模型中建立simulink/matlab模型,模型按照圖1所示的系統結構建立,采用帶有最大功率跟蹤的光伏電池控制器,把光伏電池上的電能傳輸到直接并聯超級電容的直流母線上。同時電能通過蓄電池充放電控制器給蓄電池充電。如圖8所示,該系統的simulink模型主要有PV模塊、LED模塊、直流母線模塊、蓄電池模塊、超級電容積分模塊、蓄電池充電控制器模塊。

如圖8,把超級電容值設置為0,則可以仿真直接boost電路充電方式不采用超級電容系統,仿真結果如圖9所示,圖9(a)、圖9(b)分別模擬陰天和晴天光照情況下蓄電池充電電流、及蓄電池電壓。在陰天弱光照情況下,系統發電能力受到系統自身損耗影響很大,其啟動所需要的光照強度高。

在晴天較強光照情況下,系統能在高工作效率狀態下工作。
采用超級電容系統的仿真結果如圖10所示圖10(a)、圖10(b)分別模擬陰天和晴天光照情況下超級電容電壓、蓄電池充電電流、及蓄電池電壓。

在陰天弱光照情況下,超級電容充放電次數較少,蓄電池電壓呈階梯狀上升。在晴天強光照下,超級電容充放電次數多。
對比兩種系統結構,從蓄電池最終電壓可以看出,弱光照情況下,使用超級電容系統的光伏電池的利用率上升,蓄電池電壓變化值約為不采用超級電容的蓄電池電壓變化值的120%,即在弱光照下,系統的光伏發電效率提高了大約20%。而在晴天,有足夠光照的情況下,雖然在早晚光照較弱時,其發電能力得到提高,但由于多引入一級變換器,在較高功率下,采用超級電容沒有對系統的發電效率有明顯的提高。由上,采用超級電容的獨立光伏系統在光照不足的地區能對發電能力有明顯的改善。
5 結論
本文在獨立式光伏系統簡單計算方法的基礎上,提出采用了超級電容的獨立光伏系統的設計算法。
通過對使用超級電容的太陽能LED路燈系統各部分組件進行建模,在采用充放電控制器控制情況下,使用計算機仿真對比在各種太陽光照情況下系統的發電情況。仿真結果證明,使用該方法可以有效提高在弱太陽光照情況下的光伏系統發電效率,從而向使用超級電容的太陽能LED路燈的配置設計提供了理論依據。





