- DC-DC轉換器初級電流檢測方法
- 電阻直接取樣
- 利用霍爾元件(LEM)取樣
- 利用電流互感器取樣
引言
在開關電源設計中,很重要的一項內容是過載保護功能的設計,尤其是在空間領域,由于其高可靠、高風險、不可維修的特性,使得空間用DC-DC轉換器要具備可靠的過載保護功能。
過載保護功能是指在負載過載情況下,能有效保護DC-DC轉換器不會因過熱而損壞。由于用電負載不同,對過載保護功能要求也不同。控制系統要求過載后DC-DC轉換器不能斷電,其采取限流保護;有效載荷系統要求可以在過載后DC-DC轉換器斷電,其采取截流保護。
設計過載保護就需要檢測電路中的電流,DC-DC轉換器的電流取樣可以直接檢測輸出回路的電流,例如次級整流回路的電流;也可以檢測初級回路的電流,例如流過功率MOSFET管的電流。
電流檢測的一般方式
電流檢測常用的方式為電阻直接取樣、利用霍爾元件(LEM)取樣和利用電流互感器取樣。
用電阻取樣易于實現,電路設計簡單,但損耗大,檢測信號易受干擾,適用于小功率轉換電路,電路如圖1所示,其中R1為電流檢測電阻。以源端平均電流1A為例,常用的電流控制型PWM控制器UC1845的電流保護檢測電壓為1V,這樣需要的電阻為1Ω,功耗為1W,按照航天器元器件降額要求(GJB/Z 35-93《元器件降額準則》),至少選用2W的電阻。而一個2W電阻的封裝對于模塊電源來說體積較大。

一般電流互感器的特性介于電阻和霍爾元件之間,是用得最多的一種電流檢測方法。DC-DC轉換器中常用的是脈沖直流互感器,其原理如圖2所示,工作方式為單向磁化,類似正激轉換器。當初級電流流通時,磁芯中磁場逐漸增大;當初級電流不再增加時,次級感應電勢將二極管擊穿,使磁芯復位到剩磁感應強度Br。
通常初級線圈為1匝,次級匝數很多,這樣可以減小次級反射到初級的阻抗,以減小對初級的影響。
[page]
如果不考慮線圈電阻,則次級感應電壓可以近似為電壓源,脈沖直流互感器的設計依據公式(1):
式中:e2為次級感應電壓,Ton為導通時間,N2為次級線圈匝數,Ae為磁芯有效截面積,△B為工作磁感應強度,單位為特斯拉(T)。
互感器勵磁電流im有如下關系式:

一般電流互感器初級匝數為1,即N1=1,則(3)式可以表示為:
式中:AL為磁芯電感系數,表達式為:
如果定義電流檢測誤差為:
即電流互感器設計公式為:
用輸入差模電感作電流互感器的原理
由于電磁兼容性的需要,DC-DC轉換器輸入端都要加EMC濾波器,通常的濾波器由共模濾波電感、差模濾波電感、濾波電容組成,如圖3所示。
由于輸入回路串接了工作于開關狀態的功率開關管,因此輸入端有兩個電流回路,一個是輸入電容通過輸入電感充電回路,另一個是輸入電容通過變壓器初級向功率開關管放電回路。
用輸入差模電感作電流互感器,檢測輸入電流的應用電路如圖4所示。


下面推導互感器次級感應電壓與輸入電流的關系。
如果忽略T1次級反射阻抗的影響,可以將T1初級等效成電流值為輸入電流Iin的恒流源,主變壓器初級及開關管V1可以等效成受占空比控制的脈動電流源。
不考慮V1的導通與截止時間,且整個轉換器工作在連續模式,主變壓器初級導通時的電流可以近似為常值,這樣整個工作周期內主要各點電壓、電流波形如圖5所示。

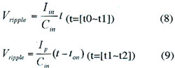
電路工作于穩態后,t0~t1時間段V1關斷,輸入通過Iin給輸入電容Cin充電;t1~t2時間段V1導通,輸入電容Cin通過主變壓器和V1放電,如此循環。
可以推導輸入電流與電容紋波電壓的關系為:

因此可以把輸入電容上的紋波電壓等效為T1初級的交流信號源,如圖6所示。
互感器初級按照一般差模電感進行設計,本文再不贅述了。設計次級時,此時不能按照一般電流互感器次級設計,而是把電流互感器次級作為正激變壓器次級去設計,次級匝數為:

電路仿真
作者用Saber-2005仿真軟件對這一應用電路進行了仿真分析,仿真電路如圖7所示。輸出電壓為28.5V,輸出電流步長為0.1A,從0A變化到4A。
測試數據
作者設計了一個開關電源,輸入互感器用MPP磁芯55045A2,初級而數22匝,次級匝數220匝,輸出電壓28V,輸出電流步長為0.1 A,從0A變化到4A,輸出電流與互感器次級感應電壓Vout的實測曲線如圖8所示。
結語
本文探討了一種利用輸入濾波差模電感,做DC-DC轉換器輸入電流互感器的原理與設計方法,在電路應用中可以省略單獨的電流互感器。當然對于具體電路,其設計要依賴于輸入濾波電容的大小,因此對于一個具體的DC-DC轉換器,應先設計輸入濾波電路,再設計該電流互感器。




