【導讀】最近在準備開源的電源設計,把《電源是怎樣煉成的》相關內容全部開源。所以在做一些器件選型。如下是一個電容的選型過程。 BUCK型開關電源規格需求:5V0~24V0→1V~5V0 輸出電流:2A。
電源控制器備選型號:MP4420A(A表示:CCM模式,H表示:輕載降頻模式)
PIN2PIN兼容: MPQ4420A-DJ(工業級),MPQ4420A-DJ-A(汽車級)
廠家:MPS

開關電源的 輸入電容的選型:
1、 DCDC輸入電容的作用:降低輸入紋波電壓、以及紋波電流。
輸入電容的主要作用就是降低電源模塊輸入端的紋波幅值。
使用大容量電容可以有效降低紋波電流的有效值;陶瓷電容器放置在電源的輸入端,有效降低紋波電壓幅度。陶瓷電容的低ESR特性有效降低紋波電壓的幅度。(在紋波電流比較小的情況下,用陶瓷電容即可解決紋波電流和紋波電壓的問題)
因為我們需要利用陶瓷電容的低ESR的特性,所以,我們需要把輸入電容靠近電源模塊放置。

如果你的輸入電容處理不好,幾個uH的雜散電感寄生在輸入電容的電流路徑上,恰好影響在開關頻率上的阻抗,非常影響電路消除紋波電壓的有效性。鋁電解電容以及大多數鉭電容的ESR太高,不能有效去除紋波電壓。
如果輸入的紋波電壓比較大的話,會導致大量的紋波電流進入大電容,這些電流流經ESR,會引起無效的功率損耗。
為了減小大容量電容器中的電流有效值,必須使用陶瓷電容器減小紋波電壓幅度。作為一般的經驗法則,保持峰峰值紋波電壓低于75mV保持電容器中的電流有效值在可接受的范圍內。(備注:這個經驗靠譜么?)
注:大功率電源的紋波電壓極大,不做此約束。
1、理論計算:
負載電流、占空比和開關頻率是決定輸入紋波電壓大小的幾個因素。
輸入紋波電壓幅值與輸出負載電流成正比。最大輸入紋波幅值發生在最大輸出負載。此外,電壓紋波的幅度隨開關電源的占空比變化而變化。
第一步:計算紋波電流

輸入電流時域波形圖
有效電流定義:有效值在相同的電阻上分別通過直流電流和交流電流,經過一個交流周期的時間,如果它們在電阻上所消耗的電能相等的話,則把該直流電流(電壓)的大小作為交流電流(電壓)的有效值
有效值也稱為方均根值。
方均根值指的是在規定時間間隔內一個量的各瞬時值的平方的平均值的平方根,對于周期量,時間間隔為一個周期。
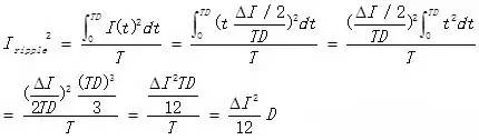
求輸入紋波電流的有效值:


考慮輸出紋波對輸入紋波的影響:

即:輸入電流的頂部也是按照一定斜率變化的,變化幅度與輸出電流相同。

所以:

第二步:輸入電容的紋波電流的選定
可以查電容的數據手冊查看其承受紋波電流能力。以高分子電容為例,其額定的紋波電流(Rated ripple)為3.89A。
如果電源輸入電流紋波為9A,則該電容需要放置3個。
鋁電解電容:

陶瓷電容:

第三步:容值的選擇:
利用充放電的電量相同可得:

Q=C*ΔU
Q=Iout*D * T* (1-D)
C=Iout*D* T* (1-D)/ΔU
舉例:
● V IN = 12 V
● V OUT = 3.3 V
● I OUT = 10 A
● η = 90%
● f SW = 333 kHz
● dc = 0.3

根據我們現在設計的規格:2A
12V輸入、3V3輸出、輸出電流2A、效率90%,計算:
CMIN=16.8uF
所以,我們可以看到典型設計中,放置了兩個10uF的電容,滿足上述設計要求;

第四步:電容的選擇:
電容的種類太多了,是“電阻”、“電感”、“電容”三大無源器件中,種類最多的一種。

此處,考慮容值需求,成本需求,我們用于電源濾波的,一般只會選擇三類:鋁電解電容、鉭電容、陶瓷電容

鉭電容
鉭電容、優點和缺點都很明顯
優點:
(1)體積小
由于鉭電容采用了顆粒很細的鉭粉,而且鉭氧化膜的介電常數ε比鋁氧化膜的介電常數高,因此鉭電容的單位體積內的電容量大。
(2)使用溫度范圍寬,耐高溫
由于鉭電容內部沒有電解液,很適合在高溫下工作。一般鉭電解電容器都能在-50℃~100℃的溫度下正常工作,雖然鋁電解也能在這個范圍內工作,但電性能遠遠不如鉭電容。
(3)壽命長、絕緣電阻高、漏電流小 鉭電容中鉭氧化膜介質不僅耐腐蝕,而且長時間工作能保持良好的性能
(4)容量誤差小
(5)等效串聯電阻小(ESR),高頻性能好
缺點:
(1)耐電壓不夠高
(2)電流小
(3)價格高
(4)失效模式恐怖

貼片鉭電容封裝、尺寸封裝尺寸:毫米(英寸)
AVX 常規系列(TAJ)貼片鉭電容:容量和額定電壓(字母表示封裝大小)

封裝尺寸:毫米(英寸)

此處我們應該可以發現規律,在這個容量等級,需要高耐壓的話,鉭電容的體積優勢已經沒有了,成本的劣勢會非常明顯。我們首先需要淘汰鉭電容的選擇。
另外,考慮鉭電容的可供應性的問題,還有失效模式的問題,這個應用場景下我們果斷淘汰。高分子聚合物(Polymer)鉭電容的耐壓和成本問題更嚴重。
鋁電解電容
鋁電解電容的優缺點
優點:
(1)大容量電容,相當單位體積的容量大。
(2)相當單位靜電容的價格便宜。
(3)酸化皮膜(誘電體)具有自身修復性。
(4)故障狀態的大部分狀態是磨耗故障,不容易出現短路故障。
(5)沒有容量的電壓依存性。
缺點:
(1)壽命有限。
(2)溫度變化引起的特性變化比較大。
(3)使用非正常條件,電容內壓易上升造成壓力閥動作。一般條件下電解液自身也是可燃物
陶瓷電容
如果容量、耐壓滿足的情況下,我們為了可靠性的考慮,一般優選用陶瓷電容來解決問題。
但是陶瓷電容有一個易失效的模式:機械失效。
多層片狀陶介電容器由陶瓷介質、端電極、金屬電極三種材料構成,失效形式為金屬電極和陶介之間層錯,電氣表現為受外力(如輕輕彎曲板子或用烙鐵頭碰一下)和溫度沖擊(如烙鐵焊接)時電容時好時壞。
多層片狀陶介電容器具體不良可分為:
1、熱擊失效
2、扭曲破裂失效
3、原材失效三個大類
(1)熱擊失效模式:
熱擊失效的原理是:在制造多層陶瓷電容時,使用各種兼容材料會導致內部出現張力的不同熱膨脹系數及導熱率。當溫度轉變率過大時就容易出現因熱擊而破裂的現象,這種破裂往往從結構最弱及機械結構最集中時發生,一般是在接近外露端接和中央陶瓷端接的界面處、產生最大機械張力的地方(一般在晶體最堅硬的四角),而熱擊則可能造成多種現象:
第一種是顯而易見的形如指甲狀或U-形的裂縫

第二種是隱藏在內的微小裂縫

第二種裂縫也會由裸露在外的中央部份,或陶瓷/端接界面的下部開始,并隨溫度的轉變,或于組裝進行時,順著扭曲而蔓延開來(見圖4)。

第一種形如指甲狀或U-形的裂縫和第二種隱藏在內的微小裂縫,兩者的區別只是后者所受的張力較小,而引致的裂縫也較輕微。第一種引起的破裂明顯,一般可以在金相中測出,第二種只有在發展到一定程度后金相才可測。
(2)扭曲破裂失效
此種不良的可能性很多:按大類及表現可以分為兩種:
第一種情況、SMT階段導致的破裂失效
當進行零件的取放尤其是SMT階段零件取放時,取放的定中爪因為磨損、對位不準確,傾斜等造成的。由定中爪集中起來的壓力,會造成很大的壓力或切斷率,繼而形成破裂點。
這些破裂現象一般為可見的表面裂縫,或2至3個電極間的內部破裂;表面破裂一般會沿著最強的壓力線及陶瓷位移的方向。

真空檢拾頭導致的損壞或破裂﹐一般會在芯片的表面形成一個圓形或半月形的壓痕面積﹐并帶有不圓滑的邊緣。此外﹐這個半月形或圓形的裂縫直經也和吸頭相吻合。
另一個由吸頭所造成的損環﹐因拉力而造成的破裂﹐裂縫會由組件中央的一邊伸展到另一邊﹐這些裂縫可能會蔓延至組件的另一面﹐并且其粗糙的裂痕可能會令電容器的底部破損。
第二種、SMT之后生產階段導致的破裂失效
電路板切割﹑測試﹑背面組件和連接器安裝﹑及最后組裝時,若焊錫組件受到扭曲或在焊錫過程后把電路板拉直,都有可能造成‘扭曲破裂’這類的損壞。
在機械力作用下板材彎曲變形時,陶瓷的活動范圍受端位及焊點限制,破裂就會在陶瓷的端接界面處形成,這種破裂會從形成的位置開始,從45°角向端接蔓延開來。

(3)原材失效
多層陶瓷電容器通常具有2大類類足以損害產品可靠性的基本可見內部缺陷:
電極間失效及結合線破裂燃燒破裂。
這些缺陷都會造成電流過量,因而損害到組件的可靠性,詳細說明如下:
1、電極間失效及結合線破裂主要由陶瓷的高空隙,或電介質層與相對電極間存在的空隙引起,使電極間是電介質層裂開,成為潛伏性的漏電危機;
2、燃燒破裂的特性與電極垂直,且一般源自電極邊緣或終端。假如顯示出破裂是垂直的話,則它們應是由燃燒所引起;

備注:原材失效類中第一種失效因平行電容內部層結構分離程度不易測出,第三種垂直結構金相則能保證測出
結論:
由熱擊所造成的破裂會由表面蔓延至組件內部,而過大的機械性張力所引起的損害,則可由組件表面或內部形成,這些破損均會以近乎45°角的方向蔓延,至于原材失效,則會帶來與內部電極垂直或平行的破裂。
另外:熱擊破裂一般由一個端接蔓延至另一個端接﹐由取放機造成的破裂﹐則在端接下面出現多個破裂點﹐而因電路板扭曲而造成的損壞﹐通常則只有一個破裂點。
根據實驗數據和經驗數據,我們選擇陶瓷電容的體積越大,越容易機械失效。
如果避免失效呢:
措施一、禁止選擇1210以上封裝的陶瓷電容,優選1206封裝以下的陶瓷電容。
措施二、所有陶瓷電容必須遠離PCB板容易變形的位置:板邊、散熱器安裝孔附近、螺釘孔附近……
我們按照這個電源模塊的需求,進行選型:耐壓50V、10uF的陶瓷電容,封裝在1206的。
備選廠家有:

我們從符合規格的廠家中選擇了質量和價格相對都比較好的;
村田、TDK的質量都比較好。
風華的電容可以跟TDK做比較的。
三星的是所有電容中最便宜的,也是比較不穩定的。
更便宜的話就是潮州市三環陶瓷電容有限公司。
但是都是上市公司。
雖然10uF的陶瓷電容,標稱的:10uF、耐壓50V,封裝體積小于等于1206,但是我們知道陶瓷電容的電壓依耐性,也就是說電壓越高,其有效容值會下降。查看datasheet,觸目驚心:

當我們的輸入電壓為12V的時候,其實電容呈現出來的電容值,只有4uF
再考慮溫度因素:

此時電容值顯得更不理想。
這時候,我們是不是開始糾結了,是增加陶瓷電容的數量呢?還是回頭去選擇鋁電解電容?
推薦閱讀:



