【導讀】為了限制本討論的范圍,請考慮采用同步降壓轉換器拓撲的MOSFET選擇方法,該方法適用于PC主板和電信應用的DC / DC轉換器。為特定應用尋找合適的MOSFET涉及最小化損耗并了解這些損耗如何取決于開關頻率,電流,占空比以及開關上升和下降時間。此信息指導選擇工具開發。
鑒于現有的MOSFET選擇范圍廣泛,以及為主板電源分配的不斷縮小的空間,使用可靠,一致的方法選擇正確的MOSFET變得越來越重要。這種方法可以加速開發周期,同時優化特定于應用的設計。
經常通過功率MOSFET選擇過程的PC主板和電源設計人員可以從使用電子表格的自動化過程中受益。這種常用工具可以顯著縮短選擇時間,同時為設計人員提供一個親密,逐步的選擇過程。與算法編程語言相比,在電子表格中實現選擇方法提供了更大的交互,易于微調,以及用于構建和維護零件數據庫的簡單規定。
為了限制本討論的范圍,請考慮采用同步降壓轉換器拓撲的MOSFET選擇方法,該方法適用于PC主板和電信應用的DC / DC轉換器。為特定應用尋找合適的MOSFET涉及最小化損耗并了解這些損耗如何取決于開關頻率,電流,占空比以及開關上升和下降時間。此信息指導選擇工具開發。
一旦選擇了拓撲結構,就可以將MOSFET選擇基于其在電路中的位置和一些器件參數,例如擊穿電壓,載流能力,R ON和R ON溫度系數。目標是最小化傳導和切換,并選擇具有足夠熱性能的器件。

圖1:降壓轉換器拓撲結構使用兩個n溝道MOSFET。Q 1是開關或控制MOSFET,Q 2是同步整流器。L和C包括輸出濾波器,R L是負載電阻。
檢查典型的降壓轉換器可以了解器件要求如何根據電路位置的不同而有很大差異(圖1)。該電路從12V電源獲取電源并提供1.5V的輸出電壓,導致Q 1的占空比D為1.5 / 12 = 0.125,同步整流器Q 2的 1-D 。開關損耗在Q 1中的功耗中占主導地位,因為與Q 2相比,其占空比相對較小。Q 1的電壓偏移是源電壓。雖然Q 2也必須脫離全電源電壓,但在其開關間隔開始時,體二極管將濾波電感器鉗位到地,所以Q 2的偏移僅限于二極管壓降。小占空比和大偏移對Q 1的上升和下降時間性能提出了要求。導通損耗是R ON的函數,它決定了Q 2的功耗。最小化該歐姆項需要具有最低導通電阻的器件,以根據成本預期和效率要求處理負載電流。
電子表格包括靜態和動態損耗的計算,后者是開關和柵極驅動損耗的總和。為了便于動態損耗計算,您需要參考代表性波形(圖2)。在切換之前,MOSFET的功耗源于傳導損耗。藍色三角形下面的區域描繪了切換過渡時間期間的動態損耗,每個周期發生兩次。因此,總動態損耗與開關頻率成比例。

圖2:開關Q 1產生I D(綠色)和V DS(紅色)的特征波形。這兩個波形的乘積給出了瞬時功耗P D(藍色)。
傳導損耗與MOS器件的導通狀態溝道電阻成正比:
和
其中I D是漏極電流,R ON是制造商規定的標稱環境溫度下的溝道電阻,D是Q 1的占空比。
柵極電容的充電和放電有助于開關損耗。這種損失還取決于開關頻率:
其中V G是柵極驅動電壓,C GS是柵極 - 源極電容,f是開關頻率。
MOSFET選擇的起伏
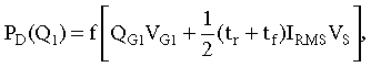
控制開關Q 1和同步整流器Q 2的要求不同。電流,電壓和功耗額定值是決定器件在任一位置的適用性的關鍵參數。Q 1的功耗由下式給出:

在等式1中,第一項反映了傳導損耗,第二項反映了動態和柵極損耗。I RMS是漏極電流; R ON是溝道電阻; D是占空比; f是開關頻率; t r和t f分別是切換上升和下降時間; 和V S是輸入源電壓。
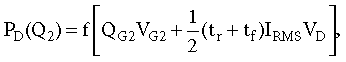
同樣,Q 2的功耗由下式給出:

與前一種情況一樣,第一項是傳導損耗,第二項是開關損耗。注意D是Q 1的占空比。最后一項V D是體二極管正向電壓。通過在Q 2上連接肖特基二極管,可以減少這種損耗并改善電路的開關動態。
通過計算兩個器件的功耗,您可以根據封裝和散熱器的熱阻計算溫升:
其中ΔT是環境溫度上升的攝氏度,P是器件的總功耗,RΘ是總熱阻,它是FET封裝和散熱器的結殼電阻之和熱阻。還有一個小型的散熱器術語,通常可以忽略不計 - 特別是當您使用現代熱界面材料時。散熱器可以是明確的機械設備或具有足夠表面積的印刷電路板跡線(圖3)。

圖3:您可以表示2盎司銅印刷電路板走線的熱阻,單位為攝氏度/瓦,與走線面積的函數關系。這種厚度的銅是大多數印刷電路板的典型特征。
雖然這些方程式很簡單,可以快速檢查給定MOSFET在特定應用中的適用性,但R ON對結溫的強依賴性使計算有些復雜化。溫度上升約80℃導致R ON值增加40%。您需要在分析傳導損耗時包含此行為,以計算實際溫升。
如果在公式1中包含R ON的溫度系數,則得到:
和

其中δ是R ON的溫度系數,單位為°C -1,P D是動態損耗項,與R ON無關。
當你替換這些變量為公式2,解決了設備的Δ 牛逼 S,你會發現:

和

公式4提供了結溫升高與負載電流和一組特定MOSFET參數的函數關系。對于商業應用,結溫約為105℃通常是良好的首次切割。
計算動態損失
上升和下降時間取決于MOSFET和柵極驅動電路的特性。柵極電荷Q G是柵極電容和驅動電壓的乘積,通常為4.5V。柵極電容與柵極驅動器的輸出阻抗相結合,以限制柵極上升和下降時間:

和

在這些等式中,V G是等效柵極電壓,V P是柵極驅動脈沖幅度,R P是柵極驅動輸出阻抗,C G是柵極電容。
當V G達到V P的 99%時,MOSFET完全導通。如果將此關系替換回公式5,則上升和下降時間將減少為:

您現在可以計算每個設備的總動態損耗:

和

其中V G是參考設備的門驅動器。
完成設計
從制造商的數據表或印刷電路板走線的尺寸確定散熱器的熱阻。圖3顯示了具有2盎司銅的單層印刷電路板的印刷電路板走線熱阻,而其中MOSFET位于其中心的方形銅區域。根據可用的印制電路板面積,銅可以作為MOSFET的散熱器。值得注意的是,對于小型設備,增加超過2平方英寸的面積將不會明顯降低熱阻。
在電子表格中,編譯適合您應用的MOSFET數據庫。對于同步整流器Q 2,MOSFET必須滿足應用的電壓和電流要求。它還必須具有足夠低的R ON,以使傳導損耗足夠小以滿足效率目標。對于這種MOSFET,柵極電荷在功耗方面起著次要作用。
對于控制裝置Q 1,動態或開關損耗是主要因素,并且傳導損耗起次要作用。MOSFET應滿足電壓和電流規范,并盡可能降低柵極電荷,以保持較小的動態損耗。其次,尋找具有中等R ON的設備。
求解方程3和4,了解數據庫中所有MOSFET的溫升。然后,您可以選擇滿足溫升,封裝和價格要求的MOSFET。電子表格解決了選擇MOSFET的公式3和4,可以同時評估多個MOSFET。通過這種方式使用電子表格,您可以執行“假設分析”分析,為應用選擇最佳MOSFET。只要您已經了解了設計中每個器件的導通和開關損耗要求,就可以將這種基本方法適用于其他拓撲。



