【導讀】力學傳感器是將各種力學量轉換為電信號的器件,力學量可分為幾何學量、運動學量及力學量三部分,其中幾何學量指的是位移、形變、尺寸等,運動學量是指幾何學量的時間函數,如速度、加速度等。力學量包括質量、力、力矩、壓力、應力等。根據被測力學的不同,這里我們首先要介紹的是應用最為廣泛的應變式壓力傳感器。
力學傳感器的種類繁多,如電阻應變片壓力傳感器、半導體應變片壓力傳感器、壓阻式壓力傳感器、電感式壓力傳感器、電容式壓力傳感器、諧振式壓力傳感器及電容式加速度傳感器等。但應用最為廣泛的是壓阻式壓力、傳感器,它具有極低價格和較高的精度以及較好的線性特性。

在了解壓阻式力傳感器時,我們首先認識一下電阻應變片這種元件。電阻應變片是一種將被測件上的應變變化轉換成為一種電信號的敏感器件。它是壓阻式應變傳感器的主要組成部分之一。電阻應變片應用最多的是金屬電阻應變片和半導體應變片兩種。
金屬電阻應變片又有絲狀應變片和金屬箔狀應變片兩種。通常是將應變片通過特殊的粘和劑緊密的粘合在產生力學應變基體上,當基體受力發生應力變化時,電阻應變片也一起產生形變,使應變片的阻值發生改變,從而使加在電阻上的電壓發生變化。
這種應變片在受力時產生的阻值變化通常較小,一股這種應變片都組成應變電橋,并通過后續的儀表放大器進行放大,再傳輸給處理電路(通常是A/D轉換和CPU)顯示或執行機構。金屬電阻應變片的內部結構由基體材料、金屬應變絲或應變箔、絕緣保護片和引出線等部分組成。
根據不同的用途,電阻應變片的阻值可以由設計者設計,但電阻的取值范圍應注意:阻值太小,所需的驅動電流太大,同時應變片的發熱致使本身的溫度過髙,不同的環境中使用,使應變片的阻值變化太大,輸出零點漂移明顯,調零電路過于復雜。而電阻太大,阻抗太高,抗外界的電磁干擾能力較差。
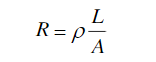
—般均為幾十歐至幾十千歐左右。電阻應變片的工作原理金屬電阻應變片的工作原理是吸附在基體材料上應變電阻隨機械形變而產生阻值變化的現象,俗稱為電阻應變效應。金屬導體的電阻值R可用下式表示:
式中:p——金屬導體的電阻率(Ocm2/m)A——導體的截面積(cm2)L——導體的長度(m)我們以金屬絲應變電阻為例,當金屬絲受外力作用時,其長度和截面積都會發生變化,從上式中可很容易看出,其電阻值即會發生改變,假如金屬絲受外力作用而伸長時,其長度增加,而截面積減少,電阻值便會增大。
當金屬絲受外力作用而壓縮時,長度減小而截面增加,電阻值則會減小。只要測出加在電阻的變化(通常是測量電阻兩端的電壓),即可獲得應變金屬絲的應變情況。壓電式力傳感器是利用石英晶體的縱向壓電效應,將力轉換成電荷的變換裝置。傳感器產生的電荷正比于被測外力,通過電荷放大器將電荷按比例轉換成電壓,用電壓表或其他顯示器讀出其大小及變化。
推薦閱讀:




