【導讀】面包板連接如圖1和圖2所示。波形發生器W1的輸出連接至M1的柵極端子。示波器輸入1+(單端)也連接至W1輸出。漏極端子連接至正極(Vp)電源。源極端子連接至2.2 kΩ負載電阻和示波器輸入2+(單端)。負載電阻的另一端連接至負極(Vn)電源。要測量輸入-輸出誤差,可以將2+連接至M1的柵極,2–連接至源極,以顯示示波器通道2的差值。
目標
本次實驗的目的是研究簡單的NMOS源極跟隨器,有時也稱為共漏極配置。
材料
● ADALM2000主動學習模塊
● 無焊面包板
● 跳線
● 一個2.2 kΩ電阻 (RL)
● 一個小信號NMOS晶體管(M1采用增強模式CD4007或ZVN2110A)
說明
面包板連接如圖1和圖2所示。波形發生器W1的輸出連接至M1的柵極端子。示波器輸入1+(單端)也連接至W1輸出。漏極端子連接至正極(Vp)電源。源極端子連接至2.2 kΩ負載電阻和示波器輸入2+(單端)。負載電阻的另一端連接至負極(Vn)電源。要測量輸入-輸出誤差,可以將2+連接至M1的柵極,2–連接至源極,以顯示示波器通道2的差值。

圖1.源極跟隨器。
硬件設置
波形發生器配置為1 kHz正弦波,峰峰值幅度為2 V,偏移為0。示波器通道2的單端輸入(2+)用于測量源極的電壓。示波器配置為連接通道1+以顯示AWG發生器輸出。在測量輸入-輸出誤差時,應連接示波器的通道2,以顯示2+和2–之間的差值。

圖2.源極跟隨器面包板電路。
程序步驟
配置示波器以捕獲所測量的兩個信號的多個周期。產生的波形如圖3所示。

圖3.源極跟隨器的輸入和輸出波形。
源極跟隨器的增益(VOUT/VIN)理想值為1,但總是略小于1。增益由以下公式1計算得出:
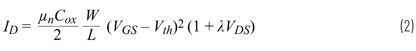
從公式可以看出,要獲得接近1的增益,我們可以增大RL或減小rs。也可以看出,rs是ID的函數,ID增大,rs會減小。此外,從電路可以看出,ID與RL相關,如果RL增大,ID會減小。在簡單的電阻負載發射極跟隨器中,這兩種效應相互抵消。所以,要優化跟隨器的增益,我們需要找到能在不影響另一方的情況下降低rs或增大RL的方法。需要注意的是,在MOS晶體管中,ID = Is (IG = 0)。

其中, K = μnCox/2 ,λ可以認為是與工藝技術相關的常數。
從另一個角度來看,因為晶體管Vth本身的DC偏移,在預期的擺幅內輸入和輸出之間的差值應是恒定的。受簡單的電阻負載RL影響,漏電流ID會隨著輸出上下擺動而升高和降低。我們知道ID是VGS的函數(平方關系)。以+1 V至-1 V的擺幅為例,最小ID = 1 V/2.2 kΩ或0.45 mA,最大ID = 6 V/2.2 kΩ或2.7 mA。因此VGS會發生明顯變化。根據這些實驗結果,我們能從一個方面改善源極跟隨器。
現在可以使用先前學子專區 實驗中的電流鏡來代替源負載電阻,以使放大器晶體管的源極電流固定不變。電流鏡能在寬電壓范圍內獲取較為恒定的電流。晶體管中這種較為恒定的電流會導致VGS相當恒定。從另一個角度來看,電流鏡中極高的輸出電阻可以有效提高RL,但rs保持為電流設定的低值。
加強源極跟隨器
附加材料
● 一個3.2 kΩ電阻(將1 kΩ和2.2 kΩ電阻串聯)
● 一個小信號NMOS晶體管(M1采用ZVN2110A)
● 兩個小信號NMOS晶體管(M2和M3采用CD4007)
說明
面包板連接如圖4和圖5所示。

圖4.加強源極跟隨器。
硬件設置
波形發生器配置為1 kHz正弦波,峰峰值幅度為2 V,偏移為0。示波器通道2的單端輸入(2+)用于測量源極的電壓。示波器配置為連接通道1+以顯示AWG發生器輸出。在測量輸入-輸出誤差時,應連接示波器的通道2,以顯示2+和2–之間的差值。

圖5.加強源極跟隨器面包板電路。
程序步驟
配置示波器以捕獲所測量的兩個信號的多個周期。產生的波形如圖6所示。

圖6.加強源極跟隨器波形。
源極跟隨器輸出阻抗
目標
源極跟隨器的一個重要方面是提供功率或電流增益,即從高電阻(阻抗)級驅動低電阻(阻抗)負載。因此,測量源極跟隨器的輸出阻抗具有指導意義。
材料
● 一個4.7 kΩ電阻
● 一個10 kΩ電阻
● 一個小信號NMOS晶體管(M1采用CD4007或ZVN2110A)
說明
圖7和圖8中的電路配置增加了一個電阻R2,將來自AWG1的測試信號注入M1的發射極(輸出)。輸入端(M1的基極)接地。

圖7.輸出阻抗測試。
硬件設置
波形發生器配置為1 kHz正弦波,峰峰值幅度為2 V,偏移為減去M1的VGS(約為–V)。這會將±0.1 mA (1 V/10 kΩ)電流注入M1的源極。示波器輸入2+測量源極電壓的變化。

圖8.輸出阻抗測試面包板電路。
程序步驟
繪制在源極處測得的電壓幅度。配置示波器以捕獲所測量的兩個信號的多個周期。產生的波形如圖9所示。

圖9.輸出阻抗測試波形。
免責聲明:本文為轉載文章,轉載此文目的在于傳遞更多信息,版權歸原作者所有。本文所用視頻、圖片、文字如涉及作品版權問題,請聯系小編進行處理。
推薦閱讀:



