【導讀】反極性Buck-Boost 變換器主電路的元件由開關管,二極管,電感,電容等構成。輸出電壓的極性與輸入電壓相反。Buck-Boost 變換器也有電感電流連續和斷續兩種工作方式。
反極性Buck-Boost 變換器主電路的元件由開關管,二極管,電感,電容等構成。輸出電壓的極性與輸入電壓相反。Buck-Boost 變換器也有電感電流連續和斷續兩種工作方式。
反極性Buck-Boost也可以分為同步,和非同步兩種控制器。如圖所示,左圖為非同步控制器,是由開關管Q1、二極管D1、電感L組成拓撲;右圖為同步控制器,由Q2替代D1實現。

通過控制 Q1 與 Q2 的導通關斷時間,對儲能元件電感 L 與輸出電容 Cout進行 充放電,產生穩定的直流輸出電壓 Vout。其中 VIN為電源輸入電壓,Q1 為主開關功率管, 一般用 MOSFET,D1 為續流二極管,也可以用一個開關管Q2來代替。
工作過程一般包含充電階段和續流階段。詳細的工作原理為,當系統穩定時,若 Q1 導通,Q2關斷(或者D1反向截止)時,輸入電壓VIN給電感 L 充電,電流的方向為順時針,此時電能轉化為電感磁能,能量儲存于電感上,此時電感電流隨著Q1導通時間的增加而增大;電感儲能的同時,輸出電容 Cout與負載 RL構成回路,上一階段電容 Cout存儲的能量釋放給負載電阻 RL,提供所需的能量,電流方向為逆時針,輸出電壓為負值,輸出電壓的絕對值隨著充電階段的時間而下降,該過程稱為環路的充電階段。
若 Q1 關斷,Q2 導通(或者D1正向導通)時,此時電感電流在上一充電階段儲存的磁能,由電感 L,輸出電容 Cout,負載 RL和開關管Q2(或者二極管D1續流)構成的回路進行釋放,此時電感磁能轉化成電能,電感電流隨著Q2 導通時間的增加而減小,一部分用于 Cout充電,進行儲能,另一部分用于負載RL提供電流,由于電感上的電流不能突變的特性,所以電流方向為逆時針,輸出電壓也為負值,輸出電壓的絕對值隨著續流階段的時間而上升,該過程稱為續流階段。
根據 反極性Buck-boost 的工作原理可知,電感電流在充電階段是連續上升的,在續流階段是連續下降的,而根據電感電流在續流階段是否降為零,分為連續導通模式(CCM)與非連續導通模式(DCM)。
(1)連續導通模式(CCM)
連續導通模式是電感電流在續流階段不為零,而在大負載電流情況下易為 CCM 模式。其工作原理如圖所示。

由圖所示為,在每個周期內,當主開關管 Q1 導通,D1反向截止時,輸入電壓 VIN通過Q1 給電感充電,電感電流持續增大,此時 L的電壓值被拉高約為VIN(正值)。當開關管Q1 關斷,由于D1左側的電壓為VIN,右側為負值Vout,則D1為反向截止,電感電流給電容 Cout與負載 RL提供能量,電感電流在持續減小, 此時 L的電壓值Vout(負值)。所以 L的值與電感電流的值都是在周期性變換的,信號上電的波形圖如圖所示。

當工作在 CCM 模式下,每個周期內都有包含完整的充電階段和放電階段。ΔIL為電感電流紋波,Iavg電感電流平均值。
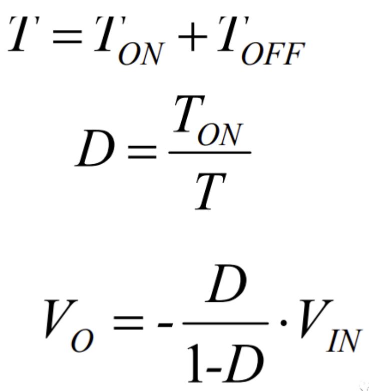
設一個完整周期的時間為 T,其中放電周期為 TON,充電周期為 TOFF。D 為電路中的占空比。由以上的原理分析可得表達式為:

(2)非連續導通模式(DCM)
當 Iout>0.5ΔI時,工作在 CCM 模式下,當Iout
工作在 DCM 模式下時,一個有三個狀態:充電階段、放電階段 和電感電流為零階段,這三階段在一個周期內的時間分別為 T1,T2,T3。充電階段的占空比為 D1,放電階段的占空比為 D2。在T3期間, Q1關斷 和 D1截止, 電感電流為零,負載由輸出濾波電容供電。



CCM 模式下,輸出電壓跟電路占空比與輸入電壓相關, 而 DCM 模式下,與輸入電壓,占空比,開關頻率,電感值,負載相關。相比于DCM, CCM 的輸出電壓值的影響因素更小。
(來源:硬件十萬個為什么微信公眾號)
免責聲明:本文為轉載文章,轉載此文目的在于傳遞更多信息,版權歸原作者所有。本文所用視頻、圖片、文字如涉及作品版權問題,請聯系小編進行處理。
推薦閱讀:




