【導讀】單相橋式整流濾波電路是“直流電源”系統中常見的、經典的電路,本文側重于分析其中電容濾波電路的運行過程,詳細回顧電容在其中是如何發揮作用的。
『模擬電子技術的基礎內容』
單相橋式整流濾波電路是“直流電源”系統中常見的、經典的電路,本文側重于分析其中電容濾波電路的運行過程,詳細回顧電容在其中是如何發揮作用的。

圖1 電容充放電電路
在開啟本文內容之前,我們先來看一下經典的電容試驗。
電容充放電試驗
圖1電路中直流電壓源V1=12V,電阻R2=1kΩ,開關S1,電容C1=1μF,電阻R1=1kΩ,
開關S1可以在左右兩個電路中來回切換。
?圖2 電容的充電動態圖,來源網絡。
毫無疑問,S1閉合左邊電路之時,電壓源V1向C1充電,直至C1兩端電壓達到一定值后停止充電,此時:
電容兩端電壓+電阻R2兩端電壓=電源V1電壓12V。
在仿真電路中,我們可以驗證如下:

圖3 電容充電過程中兩端電壓變化曲線
從圖3中紅色的曲線即為電容兩端的電壓變化情況,橫坐標軸為時間軸,縱坐標軸為電壓值。
電容充電曲線以指數規律形式上升,大概3ms后達到最大值,約為3.87V。
?圖3 電容的放電過程,來源網絡
如果此時開關撥向右邊電路,那么電容會將自己“體內”滿滿的電荷流向電阻R1。這個流動過程,叫做放電,見圖3。
進行定量分析。
『分析的過程中,使用了基爾霍夫定律和齊次微分方程的解法,這些在《電路》和《高等數學》都有介紹』

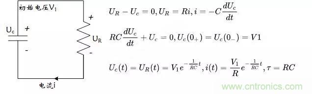
圖4 RC零輸入響應
推導過程可以不用太在意,關鍵看下我們的結論的,見圖4。
電阻兩端的電壓UR(t)和iR(t)隨著時間都是按照指數規律變化。同時,根據指數函數的性質,當時間為0時,函數取最大值V1和V1/R;
當時間趨向無窮大時,得到電壓和電流值為0。
令τ=RC
指數函數變化的快慢,與τ有關,τ值越大,函數變化越平緩,放電速度越慢;
τ值越小,函數變化越陡峭,放電速度越快。

圖5 不同τ的指數曲線
我們可以通過圖5看出,指數函數與τ取值的關系。
當τ=1ms時,為圖5中的綠色曲線;
當τ=2ms時,為圖5中的紅色曲線;
當τ=10ms時候,為圖5中的黑色曲線;
我們通常認為當時間為3~5個τ的時候,電壓與電流值已經基本為0了,此時認為放電結束。
加上示波器,我們可以看下實際的波形。

圖6 電容放電曲線
波形的確是按照指數規律下降,我們看到從419ms電壓開始下降,423ms差不多電壓趨于平緩。
『小結』
電容兩端電壓不能突變,在并聯電路中可以起到穩定電壓的作用;
如果你的電壓沒有我電容的高,那么我就對你充電,直至和我保持一樣;
如果你的電壓比我高,那你就對我充電,直至我的電壓和你保持一致;
流過電容的電流與電容兩端電壓的變化率成正比,Ic=CdUc/dt。
電壓變化越快,電流越大。
電容濾波電路

圖7 單相橋式整流電容濾波電路及輸出波形,來源網絡
圖7的電路,我們應該很熟悉,因為在前面單獨一文說過整流電路:
交流變直流,二極管整流電路是如何工作的?
這里的變化就是加了一個電容C。
如果不加電容C,輸出uo的波形就是圖7(b)的半波正弦(虛線)。那么現在電容C過來,它必然要發揮作用。
沒錯,就是保持電壓的作用。

圖8 實際的電壓輸出波形
圖8中紅色曲線為副邊電壓u2的波形,綠色曲線為電路輸出電壓uo波形。
㈠當副邊電壓u2處于正弦波形正半周的時候,二極管D1、D3導通,此時對電容C先充電,如圖7(b)中的綠色曲線。(理想情況下,變壓器副邊無損耗,二極管導通電壓為零)
㈡隨之時間的推進,當副邊電壓u2上升到峰值后開始下降,電容通過負載電阻RL放電,其電壓uc也開始下降。
㈢繼續,當輸入電壓u2在某一時刻開始小于電容C電壓的時候(圖8中綠色與紅色曲線的交點),此時二極管D1、D3反向截止。電容C繼續通過RL放電,如圖(b)中的綠色折線。
㈣當u2的負半周幅度值變化到恰好大于uc時,D2、D4因正向電壓變為導通狀態,u2再次對C充電,uc上升到u2的峰值后又開始下降;下降到一定數值時D2、D4變為截止,C對RL放電,按指數規律下降;放電到一定數值時,D1、D3變為導通,重復上述過程。
具體的動態過程可以看圖7(b)。
這個波形看起來,不像單相橋式整流電路那么“震蕩”,交流成分明顯減少。
我們也知道,電容通交流(高頻),阻直流(低頻),所以一旦和負載RL并聯,必然交流高頻部分直接被電容過濾掉,所以這個電容也叫作旁路電容,因為它在“旁邊”。

圖9 仿真電路
『主要特點』
㈠減少輸出直流電壓的脈動程度,提高了輸出電壓的平均值。
㈡電容放電時,回路電阻RL,放電時間常數為RLC,通常遠大于充電的時間常數。電容越大,負載電阻越大,濾波后輸出電壓越平滑,并且其平均值越大。
㈢通過計算(將圖9近似用折線替代),電容濾波電路輸出電壓的平均值可以達到1.2U2,電容承受的電壓為√2U2,考慮到電網電壓存在10%的波動,因此電容的耐壓值應大于1.1√2U2。

圖10 不同RlC的輸出波形比較
㈣在實際的電路中,選擇的濾波電容的容量一般需要滿足RLC=3~5T/2,其中T為電網電壓的周期(如果電網電壓為50Hz,那么周期T為20ms)
㈤輸出電壓隨著負載電流增大(負載電阻變小)而下降——帶負載的能力低。適用于輸出電壓高,負載小且變化少的場合。
㈥如果負載電阻無窮大,開路,電容不放電,輸出電壓√2U。

圖11 電容濾波電路中二極管的電流和導通角
我們知道,如果沒有加這個電容,那么橋式整流電路的中的二極管均有半個周期處于導通狀態,稱其導通角為θ等于π。
但是,一旦加上了濾波電容C,只有在給電容充電的時候,二極管才導通,所以每只二極管的導通角都要小于π了。
RLC如果取值較大,那么電容放電折線越“平緩”,濾波效果越好,電容充電時間也就越短,所以導通角θ越小。
觀察圖11(b),輸出電流為io,iD電流為整流二極管電流。根據基爾霍夫定律,我們可以認為iD=io+iC。
由于導通時間很短,所以要在短時間內產生io,必須電容充電電流iC很大(電容兩端電壓變化率很大),所以機會造成iD短時間內很大。

圖12 電容濾波電路的電流值分析
通過圖12,我們可以看出實際的電流波形,比理想的圖11要復雜的多。二極管的沖擊電流非常大。
電感濾波
在大電流的負載情況下,由于負載電阻RL很小,如果使用了電容濾波電路,想要保持“平滑”的電壓輸出效果,必然要提高電容C,因此電容容量需要很大,這個時候電容器和整流管都不太好選擇。
此時可以采用電感濾波電路。

圖13 電感濾波電路
電感的感抗隨著交流頻率的增大而增大,它就阻礙了交流成分的通過。
同時電感線圈上,利用它的感應電動勢eL=-Ldi/dt,阻礙電流的變化,減少了對二極管的沖擊作用,頻率越高,感抗越大, 濾波效果就越好。
同時,由于濾波電感電動勢的作用,二極管的電流不可能像圖12那樣尖峰突變,必然要平緩很多。
所以電感濾波的二極管的導通角可以等于π,減少了二極管的沖擊電流,延長使用壽命。
總結
實際的工作中,通常采用復式濾波電路,結合電容和電感的特點進行組合,包括LC濾波電路、LCπ型濾波電路,RCπ型濾波電路。
各種濾波電路主要考慮三個參數,分別為脈動系數、二極管導通角、帶負載能力。具體的內容不再一一介紹,感興趣的同學可以自行查閱相關資料哦。
免責聲明:本文為轉載文章,轉載此文目的在于傳遞更多信息,版權歸原作者所有。本文所用視頻、圖片、文字如涉及作品版權問題,請電話或者郵箱聯系小編進行侵刪。




