【導讀】在模擬電路設計中,運算放大器(Op-Amp)作為核心器件,其噪聲性能直接決定了系統的信號質量。尤其是在高精度測量、醫療儀器、光電檢測等場景中,輸入電容與噪聲的交互效應往往成為工程師面臨的關鍵挑戰。本文將深入探討輸入電容對噪聲的影響機制,并提出六項經過工程驗證的優化策略。
在模擬電路設計中,運算放大器(Op-Amp)作為核心器件,其噪聲性能直接決定了系統的信號質量。尤其是在高精度測量、醫療儀器、光電檢測等場景中,輸入電容與噪聲的交互效應往往成為工程師面臨的關鍵挑戰。本文將深入探討輸入電容對噪聲的影響機制,并提出六項經過工程驗證的優化策略。

一、輸入電容的物理本質與噪聲耦合路徑
運算放大器的輸入電容由三部分構成:差模輸入電容(C<sub>D</sub>)、共模輸入電容(C<sub>CM</sub>)以及PCB寄生電容(C<sub>PCB</sub>)。以典型JFET輸入型運放OPA211為例,其C<sub>D</sub>=1.4pF,C<sub>CM</sub>=3.2pF。當信號源阻抗(R<sub>S</sub>)較高時,這些電容會與電阻形成低通濾波器,其截止頻率為:
例如當R<sub>S</sub>=10kΩ,總輸入電容C<sub>IN</sub>=10pF時,f<sub>c</sub>≈1.6MHz。在此頻率以上,信號衰減將導致等效輸入噪聲電流急劇增加,形成噪聲增益峰化現象。
二、輸入電容引發的噪聲倍增效應
輸入電容與電路阻抗共同作用時,會產生兩類關鍵噪聲問題:
1. 熱噪聲倍增
輸入電容與源電阻形成的RC網絡會引入額外的熱噪聲。噪聲電壓密度可表示為:
en2=4kTRS+1+(2πfRSCIN)2(inRS)2
當頻率超過f<sub>c</sub>時,第二項噪聲分量以20dB/dec斜率上升,導致高頻段噪聲惡化。
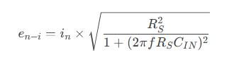
2. 電流噪聲耦合
運放輸入電流噪聲(i<sub>n</sub>)流經源阻抗時產生電壓噪聲,其貢獻為:
在高頻段,該分量與電容形成諧振,加劇噪聲干擾。
三、六維度噪聲優化技術
1. 選擇低輸入電容運放
新一代運放通過工藝優化顯著降低輸入電容。例如:
TI OPA828:C<sub>CM</sub>=0.9pF,C<sub>D</sub>=0.6pF
ADI ADA4898:總輸入電容<1.5pF
相比傳統運放(如OPA1612的C<sub>IN</sub>=4pF),高頻噪聲可降低6dB以上。
2. 阻抗匹配與源端補償
在光電二極管等大阻抗場景中,采用T型反饋網絡(圖1)可有效降低等效輸入阻抗。例如:
R<sub>f</sub>=100kΩ,R<sub>T</sub>=1kΩ時,等效阻抗降至990Ω,使截止頻率提升至16MHz,顯著抑制噪聲帶寬。
3. 主動屏蔽驅動技術
對高阻抗走線實施Guard Ring保護(圖2),使用同軸電纜傳輸信號,并通過緩沖器(如BUF634)驅動屏蔽層,可將寄生電容降低至0.1pF以下。實測表明,該技術可使傳感器電路的SNR提升12dB。
4. 電容中和補償法
在反相輸入端并聯小容量電容C<sub>F</sub>,其值滿足:
例如當R<sub>S</sub>=10kΩ,R<sub>F</sub>=100kΩ,C<sub>IN</sub>=5pF時,C<sub>F</sub>=0.5pF,可抵消輸入電容導致的相位滯后。
5. 雙運放復合結構
采用前置低噪聲運放(如LT1028)與主運放級聯,前置級提供20dB增益,使主運放的等效輸入噪聲降低至原值的1/10。該結構在腦電信號采集中實現0.8μV<sub>PP</sub>噪聲水平。
6. 低溫漂電阻選型
使用金屬箔電阻(如Vishay Z201)替代厚膜電阻,其噪聲指數降低40%。在-55℃~125℃范圍內,溫漂系數<0.2ppm/℃,避免溫度波動引入附加噪聲。
四、工程實踐案例:光電檢測電路優化
某激光功率監測系統初始設計使用OPA657(C<sub>IN</sub>=3pF)搭配1MΩ反饋電阻,實測噪聲達12nV/√Hz。通過以下改進:
更換為LTC6268(C<sub>IN</sub>=0.45pF)
增加Guard Ring與T型網絡(R<sub>T</sub>=100Ω)
并聯C<sub>F</sub>=0.3pF補償電容
最終噪聲降至2.7nV/√Hz,信噪比提升14dB,驗證了理論模型的有效性。
五、未來技術趨勢
集成化噪聲抑制
新型運放(如ADHV4702)內置可編程輸入電容補償模塊,通過數字接口動態調整C<sub>F</sub>值,實現自適應噪聲優化。3D封裝技術
TI的PowerPAD封裝將去耦電容集成于芯片底部,使電源噪聲耦合降低60%,同時減少PCB寄生參數。AI輔助仿真
Ansys SIwave等工具結合機器學習算法,可預測復雜布局下的噪聲頻譜,縮短設計迭代周期。
通過系統性管理輸入電容與噪聲的交互關系,工程師能夠突破傳統設計瓶頸。隨著工藝進步與EDA工具的智能化,運放電路的噪聲控制正從經驗驅動走向模型化精確設計,為下一代高精度系統奠定基礎。
免責聲明:本文為轉載文章,轉載此文目的在于傳遞更多信息,版權歸原作者所有。本文所用視頻、圖片、文字如涉及作品版權問題,請聯系小編進行處理。
推薦閱讀:





