中心議題:
- 介紹SCF電路并用時域和頻域法分析開關電容梳狀濾波器的特性
- 經過深入分析得出相關結論
解決方案:
- 時域分析法的思路是根據電路結構建立電路的微分方程
- 開關轉換周期2T越小,α越大,梳齒間谷底越接近零,梳齒越尖銳
- 隨著電子開關切換周期2T增大,梳齒間谷底最小值增大,電路過渡為低通濾波器
最基本的開關電容電路是由電子開關和電容組成的,主要應用是構成各種低通、高通、帶通、帶阻等開關電容濾波器(Switched-Capacitor Filter,SCF)。將開關電容電路與運算放大器結合,組成的開關電容有源濾波器具有很多奇特的性質,但由于引入了電子開關,對電路特性進行嚴密分析變得異常困難,目前已有的分析方法都只是在一定條件下從一個側面進行近似分析,本文立足于最基本的電路理論,借助計算機系統對其進行復雜而嚴格的分析計算,最終得到了具有普遍意義的結論,上述文獻的結果只是該普遍性結論的特例。
SCF電路
開關電容有源濾波器電路如圖1(a),其中S1和S2是由周期為2T的方波信號控制的理想電子開關,方波控制信號p(t)波形如圖1(b),其占空系數為0.5。即在2kT<t<(2K+1)T期間兩開關接通A點,在(2K+1)T<t<(2K+2)T期間兩開關接通B點,其中K=0,1,2,…,是時段編號。

時域法特性分析
時域分析法的思路是根據圖1的電路結構建立電路的微分方程(以輸出電壓為研究對象)。轉換周期為2T的電子開關的方波控制信號可表示為周期為2T的周期信號p(t)與單位階躍信號ε(t)的乘積:

式中:k=0,1,2,…。fT=1/(2T)為開關頻率,電路在k時段的時域響應(輸出電壓)表示為hk(t),并設:
(1)電容C在t=0_時刻電壓為零(0_,kT_等帶下劃線符號表示相應時刻的前瞬,下同),即:

(2)因為狄拉克δ函數激勵下的零狀態響應h(t)的傅里葉變換即為電路的頻率響應函數,即系統(頻譜)函數H(Ω),故設電路輸入信號(激勵)為δ函數,即:

由于電子開關周期性切換,RC電路對外電路的影響表現為:下一時段的輸出電壓初值是上一時段末時刻輸出電壓值乘(-1),即:

圖1(a)中理想運放反相端為虛地,第0時段(即k=0,0≤t<T)電路響應h0(t)的微分方程為

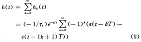
由式(8)可見,第k段的非零值時區為(kT,(k+1)T_),即各時段非零值區間互不重疊,對hk(t)關于k求和,得開關電容電路(對外)的單位沖激零狀態響應h(t)為:

特別注意,求和式是一周期為2T的周期方波p(t)與單位階躍信號ε(t)的乘積,對上式取Fourier積分變換即得到開關電容電路系統頻譜函數(用j表示虛數單位,下同):

也可以根據式(1)定義的周期為2T的開關方波信號p(t),將式(9)改寫為:

易證式(13)與式(10)完全一致,故其幅頻特性∣H(Ω)∣仍與式(11)相同。
頻域法特性分析
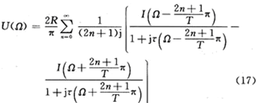
開關周期切換,形成的RC并聯支路對外電路的等效電流ie(t)為:

上式說明,Ie(Ω)是輸入電流頻譜I(Ω)周期延拓的組合,周期為Ω0=2π/T。各電流分量流過RC并聯支路時的電壓為相應電流分量與RC支路阻抗(R/(1+jωτ),ω=Ω±(2n+1)π/T)的乘積,于是輸出電壓頻譜U(Ω)為:

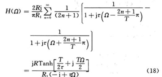
為求系統頻譜函數,取i(t)=-ui(t)/R1=-δ(t)/R1,I(Ω)=-1/R1,得到系統頻譜函數:

其中R/R1=τ/τ1,結果與式(14)一致,幅頻特性∣H(Ω)∣仍與式(11)相同。
結 語
給定圖1(a)電路參數τ和τ1,選擇α=τ/T分別取不同值時,根據式(11)做出的歸一化幅頻特性曲線如圖2所示,結合對式(11)做深入分析表明:

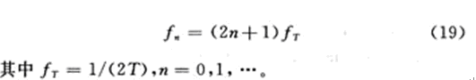
(1)α=τ/T較大時電路是梳齒幅度按奇數倒數規律衰減的梳狀濾波器,通帶中心頻率(梳齒)為:

此時圖1(a)電路允許f=fT,f=3fT,f=5fT,…等頻率成份通過,且隨著頻率的升高,輸出幅度按奇數倒數規律逐漸減小。

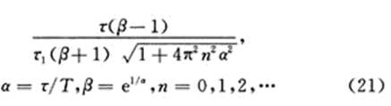
(2)α=τ/T較大時,f=(2n)fT(其中n=0,1,2,…)是系統的阻帶中心頻率,落在這些頻點上的信號將獲得最小傳輸系數,最小傳輸系數(即梳狀濾波器幅頻曲線谷底高度)為:

(3)該梳狀濾波器梳齒間隔(即阻帶中心頻率或通帶中心頻率間隔)為△f=2fT。
比較圖2可看出:開關轉換周期2T(相對于電路時間常數τ)越小,α越大,梳齒間谷底越接近零,梳齒越尖銳(即梳齒帶寬越窄)。例如,計算發現:圖2(a)中,α=τ/T=10,第一梳齒通帶寬度為B0.7=0.394fT。圖2(b)中,α=τ/T=2,第一梳齒通帶寬度為B0.7=2.33fT。
(4)隨著電子開關切換周期2T增大(α減小),梳齒間谷底最小值逐漸增大。電路逐漸過渡為幅頻特性曲線輕微起伏的低通濾波器,如圖2(d)所示。低通濾波器傳輸函數極大值為:

由∣H(Ω)∣=0.707∣H(Ω)∣max可以求得低通濾波器上限截止頻率,結果表明,對于低通濾波器.仍為α越大,低通濾波器上限頻率(即帶寬)越小。





