馬年到,小編在這里先祝賀大家馬年吉祥,馬上有錢,馬上美麗,馬上幸福!馬年之際,陶老師將繼續為大家精心奉獻開關變壓器設計的相關專業知識!請大家盡請閱讀!
年前小編最后為大家介紹的是《開關變壓器的分布電容工作原理及如何計算?》,接下來將奉獻給大家的是“漏感與分布電容對輸出波形的影響”的相關內容,該相關內容主要包括五個大的方面:1、單激式開關電源的基本電路;2、對漏感與分布電容的影響進行數學分析;3、電源開關管的過壓保護電路;4、電源開關管保護電路參數的計算;5、RCD尖峰脈沖吸收電路參數計算舉例。這里先為大家介紹第一個方面:單激式開關電源的基本電路。其他的將會在后面一一奉獻!請大家關注本站更新!
1.單激式開關電源的基本電路
圖1是單激式開關電源的基本原理圖。圖中,T為開關變壓器,N1和N2分別為開關變壓器初、次級線圈;Ls為開關變壓器的漏感, Lu為開關變壓器初級線圈的勵磁電感;Cs為開關變壓器初級線圈的分布電容,RL為開關變壓器次級線圈的輸出負載,Q1為電源開關管。

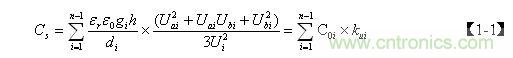
變壓器初級線圈或次級線圈的分布電容Cs可按下式進行計算:

式中,
為第 i層與i +1層線圈之間的靜態電容, i = 1、2、3、• • •、n ,n為所求總分布電容的變壓器初級線圈或次級線圈的層數; gi為第i 層與 i+1層線圈之間的平均周長; Kui為第i 層與i +1層線圈之間分布電容的動態系數,
,它與加到電容兩端的電壓有關,ku 是一個小于1的系數;
Ui為第 i層與i +1層線圈之間的標準電位差,其值一般等于相鄰兩層線圈工作電壓之和,即:
,U為變壓器初級線圈或次級線圈兩端的工作電壓;Uai 、Ubi 分別為第 i層與i +1層線圈之間X=0 和 X=h處對應的電位差;當線圈層間按S繞法時, Uai = 0,Ubi = Ui;當線圈層間按Z繞法時, Uai =Ubi = 1/2Ui。
如果不考慮變壓器次級線圈對初級線圈的影響,對于一個功率大約為100瓦的開關變壓器,其初級線圈的分布電容大約在100~2000微微法之間;如果把次級線圈的分別電容也考慮進去,總的分布電容可能要大一倍左右,因為初、次級線圈分布電容的轉換比是平方的關系。因此,分布電容對輸出波形的影響是很大的。關于開關變壓器的分布電容的計算,請參看《2-1-21.開關變壓器的分布電容》章節的內容。
[page]
根據變壓器的工作原理,圖1中的開關變壓器還可以等效為圖2所示電路。

在圖2中,Ls為漏感,漏感也稱漏磁電感,或稱分布電感;Cs為分布電容(總分布電容), Lu為勵磁電感,R為等效負載電阻。設開關變壓器初級線圈的電感為L,則L=Ls+Lu ;而分布電容Cs,則包括次級線圈等效到初級線圈一側的分布電容,即,次級線圈的分布電容也要等效到初級線圈回路中;同理,等效負載電阻R,就是次級線圈的負載RL被等效到初級線圈回路中的電阻。
設次級線圈的分布電容為C2,等效到初級線圈后的分布電容為C1,則有下面關系式:

上式中, Wc2為次級線圈分布電容C2存儲的能量, Wc1為C2等效到初級線圈后的分布電容C1存儲的能量;U1、U2分別為初、次級線圈的電壓,U2 = nU1,n = N2/N1為變壓比,N1 、N2分別為初、次級線圈的匝數。由此可以求得C1為:
![]()
【1-2】和【1-3】式的計算方法不但可以用于對初、次級線圈分布電容等效電路的換算,同樣可以用于對初、次級線圈電路中其它電容等效電路的換算,以及用于對負載電阻的換算。所以,C2亦可以是次級線圈電路中的任意電容,C1為C2等效到初級線圈電路中的電容。
由此可以求得圖2-44中,變壓器的總分布電容Cs為:

【1-4】式中,Cs為變壓器的總分布電容,Cs1為變壓器初級線圈的分布電容;而C1為次級線圈電路中所有電容等效到初級線圈電路中的電容;C2為次級線圈電路中所有電容(包括分布電容與電路中的電容);n = N2/N1為變壓比。
雖然看起來,圖2-44開關變壓器的等效電路與一般變壓器的等效電路沒有根本的區別,但開關變壓器的等效電路一般是不能用穩態電路進行分析的;即:圖2-44中的等效負載電阻R不是一個固定參數,它會隨著開關電源的工作狀態不斷改變。例如,在反激式開關電源中,當開關管導通時,開關變壓器是沒有功率輸出的,即負載電阻R等于無限大;而對于正激式開關電源,當開關管導通時,開關變壓器是有功率輸出的,即負載電阻R既不等于無限大,也不等于0 。因此,分布電感與分布電容對正激式開關電源和反激式開關電源工作的影響是不一樣的。
圖3是開關變壓器與電源開關管連接時的工作原理圖。圖3中,Q1為開關管,Cds為開關管漏極和源極之間的分布電容,Cgs為開關管柵極和源極之間的分布電容。值得說明的是,這里的Cgs和Cds都不是一個單純性質的電容,它只是在開關管的導通和關斷的一瞬間,其阻抗的變化過程與電容(或電感)的充放電過程很類似;而它的基本性質實際上還是屬于電阻,因為它會損耗功率。
[page]
當開關管開始導通時,外電路給柵極(絕緣柵場效應管)加一正電壓,通過靜電感應,開關管耗盡層中的載流子(電子)在電場的作用下會重新進行分布,耗盡層中載流子濃度按指數規律不斷增加,這個過程相當于對電容Cgs進行充電;隨著耗盡層中載流子的重新分布,耗盡層的厚度也相應增加,其結果是耗盡層的電阻由大變小。

因此,當開關管剛開始導通時,流過開關管的電流是由小變大,這個過程,與在電感兩端加一電壓方波時,流過電感的電流由小變大很相似;所以,在開關管剛導通的一瞬間,開關管的漏極和源極之間可以等效成一個電感Lds。由于這個電感相對分布電感Ls和勵磁電感Lu 來說很小,所以圖3中沒有畫出。

圖4是圖3中的開關管Q1導通時對應的等效工作原理圖。在圖4中,電感Lds為開關管Q1導通時的等效電感,當開關管Q1導通時,開關管的內部電阻將隨時間由大逐步變小,它的作用好像一個電感,因此,當開關管Q1導通時,開關管可以等效成一個理想的開關與一個電感串聯。但這個電感屬于電阻性質,它會損耗能量,它不像實際中的電感那樣可以儲存能量(磁能),它實際上屬于一個阻值由大變小的可變電阻,但如果用一個可變電阻來表示,在計算過程中將會很復雜,并且在開關管Q1導通的變化過程中,用一個可變電阻來表示也沒有用一個電感來表示顯得形象。
當開關管開始關斷時,外電路給柵極加一負電壓(或低電壓),通過靜電感應,開關管內耗盡層中的載流子(電子)在電場的作用下會重新進行分布,相當于外電路要向耗盡層抽離載流子,耗盡層中載流子的濃度將按指數規律減小,耗盡層的厚度也將隨時間增大而變小,其結果是耗盡層的電阻將隨時間由小變大。這個過程,與電容被充電時,流過電容的電流由大變小很相似;所以,當開關管剛導通的一瞬間,開關管可以等效成一個理想的開關與一個電容器并聯,這個電容器就是漏極和源極之間的分布電容Cds。圖5是開關管關斷時,反激式開關電源的工作原理圖。

根據上面分析,柵極電容Cgs對開關管的導通影響比較大,容量越大,開關管的導通上升時間就越長。而漏極電容Cds對開關管的關斷影響比較大,容量越大,開關管關斷存儲時間就越長。電容Cgs和Cds也稱擴散電容,它們既具有電阻的性質,同時也具有電容充放電的特性,這種特性主要與耗盡層中載流子的濃度變化有關。
[page]
當電源開關管為晶體管時,Cgs和Cds分別與Cbe和Cce對應,工作原理場效應管的工作原理基本相同或相似。不過基區參與導電的載流子的密度的增加或減少,不是靠靜電感應的作用,而是靠基極電流的注入。
由于開關管在導通或關斷期間,其分布參數的性質和作用也在改變,因此,在圖2-43~圖5中,要對分布電感Ls和分布電容Cs,以及Cgs和Cds組成的電流回路進行精確計算,難度是很大的。下面,我們將以很長的篇幅來對上面電路進行分析和計算。
在圖4中,分布電感Ls和分布電容Cs可以看成是一個串聯振蕩回路,當開關管Q1開始導通的時候,輸入脈沖電壓的上升率遠遠大于輸入電壓通過分布電感Ls對分布電容Cs充電電壓的上升率,此時,串聯振蕩回路開始吸收能量,輸入電壓通過Lds和Ls對Cs進行充電,流過Ls和Cs的電流按正弦曲線增長;當開關管Q1完全導通以后,Lds的值等于0,此時,輸入脈沖進入平頂階段,相當于輸入脈沖電壓的上升率為0,由于,輸入脈沖電壓的上升率遠遠小于分布電感Ls與分布電容Cs進行充、放電時電壓的上升率,因此,振蕩回路開始釋放能量,振蕩回路會產生阻尼振蕩。
由于分布電感Ls和分布電容Cs的時間常數相對于勵磁電感 Lu比較小,所以分布電感Ls和分布電容Cs產生阻尼振蕩的過程主要發生在開關管Q1導通和關斷的一瞬間。當開關管Q1導通或關斷后不久,阻尼振蕩很快就會停止。當輸入電壓對分布電容Cs充滿電后,輸入電壓就完全加到勵磁電感Lu 的兩端。如果是反激式開關電源,流過勵磁電感 Lu的電流將隨時間從0開始線性增加;如果是正激式開關電源,流過勵磁電感 的電流將隨時間按梯形波曲線增長。
在開關管Q1導通期間,由于開關管的導通內阻非常小,分布電容Cds基本上是不起作用的。當開關管Q1由導通狀態轉換為關斷時,開關管漏極和源極之間的分布電容Cds將被接入電路中,分布電感Ls和勵磁電感Lu 將同時產生反電動勢,并分別對分布電容Cds和Cs進行充、放電,電容與電感在交替進行能量交換的過程中,將產生串、并聯振蕩。
但由于勵磁電感Lu 的時間常數比Ls、Cs和Cds的時間常數大好多,因此,在產生振蕩的過程中,主要由Ls、Cs和Cds三者產生作用。另外,在開關管開始關斷期間,由于Cds實際上是一個阻抗由小到大,其阻抗變化過程類似于電容充電的可變電阻,它只吸收能量,而不會釋放能量。因此,它在產生振蕩的過程中,只對充電曲線的上升速率起影響,而對放電曲線的下降速率不起影響。
圖6是圖4和圖5電路中,當開關管導通時(圖4),輸入電壓ui通過開關變壓器漏感Ls對分布電容Cs進行充電,使漏感Ls與分布電容Cs產生沖擊振蕩時,分布電容Cs兩端的電壓波形;和當開關管關斷時(圖5),輸入電壓ui與開關變壓器漏感Ls和分布電容Cs、Cds產生充、放電時,電源開關管D、S極兩端的波形。

在圖6中,圖6-a是電源開關管Q1導通時,輸入電壓ui加于開關變壓器初級線圈兩端的電壓波形;圖6-b是分布電容Cs兩端的電壓波形;圖6-c,是電源開關管Q1漏極D與源極S之間的電壓波形。
在t0時刻,電源開關管Q1開始導通,輸入電壓ui加于開關變壓器兩端,輸入電壓ui首先通過分布電感Ls對分布電容Cs充電,此時,由于輸入電壓ui的上升率大于電流通過分布電感Ls對分布電容Cs進行充電的電壓上升率,所以,分布電感和分布電容都從輸入電壓吸收能量。輸入電壓ui在對分布電感Ls和分布電容Cs進行充電過程中,分布電容Cs兩端的電壓是按正弦曲線上升的;而放電時,其兩端的電壓則按余弦曲線下降。
到t1時刻,流過Ls的電流達到最大值,同時分布電容Cs兩端的電壓與輸入電壓ui相等(或與變壓器初級線圈的正激輸出半波平均值Upa相等),此時輸入電壓ui的上升率為0,輸入電壓ui的上升率小于分布電感Ls對分布電容Cs充電的電壓uc上升率,所以,分布電感Ls開始釋放能量繼續對分布電容Cs進行充電。此時,Ls在釋放能量,而輸入電壓ui和分布電容Cs都在吸收能量,分布電容Cs都兩端的電壓uc繼續按正弦曲線上升。
到t2時刻,流過Ls的電流等于0(儲存于Ls中的能量被釋放完畢),分布電感產生的反電動勢對分布電容Cs進行充電結束,此時Cs兩端的電壓也達到最大值,然后Cs開始按余弦曲線對Ls和輸入電壓ui進行放電,流過Ls的電流開始反向,Ls開始反向儲存磁能量。
到t3時刻,Cs兩端的電壓又與輸入電壓ui相等,電容停止放電,此時,Ls儲存的磁能量將轉化成反電動勢es給電容Cs進行反向充電,使Cs兩端的電壓低于輸入電壓ui 。
到t4時刻,流過Ls的反向電流等于0,Cs兩端的電壓達到最低值,然后輸入電壓又開始通過Ls對Cs進行充電,至此,分布電感Ls與分布電容Cs第一個充放電周期結束。
[page]
到t4時刻之后,輸入電壓ui對分布電感Ls和分布電容Cs進行充電的過程,以及分布電感Ls和分布電容Cs互相進行充電的過程,與t0~t4時刻基本相同。但由于在此期間,輸入電壓的上升率等于0,輸入電壓不再向分布電感Ls和分布電容Cs提供能量,因此,分布電感Ls與分布電容Cs產生自由振蕩的幅度是隨著時間衰減的,其衰減速率與等效電阻大小有關。
到t10時刻,分布電感Ls與分布電容Cs產生的阻尼自由振蕩的幅度被衰減到差不多等于0,此時,分布電容Cs兩端的電壓等于變壓器初級線圈的正激輸出半波平均值Upa。關于半波平均值Upa和Upa-的計算方法及定義,請參考第一章的(1-70)和(1-71)式及說明。
在圖6-b中,Upa為變壓器初級線圈正激輸出電壓的半波平均值,此值與輸入電壓相等;Upa-為變壓器初級線圈反激輸出電壓的半波平均值,此值與占空比相關;當占空比等于0.5時,Upa-與輸入電壓在數值上相等,但符號相反。
到t11時刻,電源開關管Q1開始關斷,由于流過分布電感Ls和勵磁電感Lu的電流通路突然被切斷,其必然會產生反電動勢Es 和Eu,此二反電動勢將與輸入電壓ui一起串聯對分布電容Cs和Cds進行充電。但由于Cs兩端的電壓與 Eu電壓基本相等,因此,對分布電容Cds進行充電的電壓正好是輸入電壓ui與反電動勢電壓Es和Eu三者之和。
到t12時刻,電源開關管Q1已經完全關斷,但二反電動勢Es和Eu 與輸入電壓ui還繼續對分布電容Cs和Cds進行充電,不過,此時Cds的容量已經變得非常小,因為它表示開關管內部的擴散電容,屬于電阻性質,當開關管完全關斷之后,阻值為無限大。
直到t13時刻,分布電感Ls儲存的磁能量基本被釋放完,二反電動勢Es 和 Eu才停止對分布電容Cs和Cds繼續進行充電;此時,分布電容Cs和分布電容Cds的兩端電壓均達到了最大值,即,加到電源開關管Q1漏極上的電壓達到最大值;而后,分布電容Cs又對原充電回路進行放電,并產生自由振蕩,但由于電源開關管Q1關斷后阻抗為無效大,其放電回路只能通過等效R和勵磁電感 進行,所以振幅很快就衰減到0。圖6-c為電源開關管D、S兩端的波形。
在圖6-c中,Uda為開關管Q1關斷期間,D、S兩極之間電壓的半波平均值,Uda等于輸入電壓ui(ui=U)與變壓器初級線圈產生反激輸出電壓的半波平均值Upa-之和;Udp為開關管關斷期間D、S兩極之間電壓的峰值。Udp和Uda的值均與占空比有關,當占空比等于0.5時,Uda約等于輸入電壓ui(ui=U)的2倍,而Udp則大于輸入電壓的2倍,并且Udp的值還與漏感Ls的值大小有關,Ls的值越大,Udp的值也越大。
開關變壓器次級線圈輸出電壓的半波平均值Upa和Upa-由下面兩式求得:

【1-5】式中的uo為正激輸出電壓,其值為:

【1-7】式中,D為占空比,uo為反激輸出電壓,其值為:

【1-8】式中,L1、L2分別為開關變壓器初、次級線圈的電感,n為開關變壓器線圈的匝數比,n=N2/N1,Ui為變壓器初級線圈的輸入電壓,Ton為開關管的導通時間,R為等效負載電阻。
值得說明的是,上面【1-5】~【1-8】式并沒有把分布電感Ls對輸出電壓的影響考慮在其中。
由于分布電容Cds表示開關管內部的擴散電容,它的容量在Q1的關斷過程中一直在改變(由大變小),因此,分布電感Ls和勵磁電感 產生的反電動勢 和 對分布電容Cds進行充電時,其電壓上升率并不是完全按正弦曲線規律變化。另外,由于勵磁電感Lu在數值上遠比分布電感Ls大,因此, Lu和Cs產生自由振蕩的頻率比Ls和Cs產生自由振蕩的頻率低很多。
這里順便指出,圖6-b的波形是很難測量到的,因為分布電感Ls與分布電容Cs產生自由振蕩的過程,基本上都在變壓器內部的分布電感與分布電容之間進行,用儀器很難直接進行測量;但通過測量變壓器次級線圈的波形,也可以間接測量圖6-b中波形的振幅;而圖6-c的波形可以直接進行測量,兩者的振幅均與分布電感Ls的數值大小有關,還與等效電阻R的阻值有關。分布電感Ls的數值越大,振幅也越大,等效電阻R的阻值越大,振幅也越大。
當自由振蕩很強時,自由振蕩會通過電磁輻的形式給周邊的電路或電子設備造成EMI干擾。這一點在進行開關變壓器設計時務必要注意,應該盡量減小分布電感Ls的數值。
下面我們進一步通過數學的計算方法來對電路的參數進行詳細分析。請大家密切關注下次更新:《對漏感與分布電容的影響進行數學分析》
【連載】陶顯芳老師談開關變壓器的工作原理與設計:
線圈電感量的計算及幾種典型電感介紹
http://m.mengyueyun.cn/power-art/80022174
開關變壓器的漏感工作原理及計算
http://m.mengyueyun.cn/power-art/80022173
開關變壓器鐵芯脈沖導磁率與平均導磁率的測量
http://m.mengyueyun.cn/power-art/80022172
雙激式開關變壓器鐵芯磁滯損耗、渦流損耗的測量
http://m.mengyueyun.cn/power-art/80022171
單激式開關變壓器鐵芯磁滯損耗、渦流損耗的測量
http://m.mengyueyun.cn/power-art/80022170
開關變壓器渦流損耗分析及鐵芯氣隙的選取
http://m.mengyueyun.cn/power-art/80022166
開關變壓器磁滯損耗分析及鐵芯磁滯回線測量
http://m.mengyueyun.cn/power-art/80022164
雙激式的相關參數計算以及設計時存在的風險評估
http://m.mengyueyun.cn/power-art/80022163
開關變壓器鐵芯導磁率及初始化曲線介紹
http://m.mengyueyun.cn/power-art/80022154
開關變壓器的工作原理及脈沖對鐵芯的磁化
http://m.mengyueyun.cn/power-art/80022153


