【導讀】電子技術快速騰飛,人們環保意識的逐漸加重,促使電源產品逐漸走向尺寸越來越小,效率越來越高,可靠性越來越高,壽命越來越長,舒適度越來越強。傳統的開關電源已經再也無法滿足要求,本文講述的是在70W-500W交流-直流電源中,開關電源采用LLC諧振變換技術,效率要比傳統的拓撲開關電源要高得多。
下圖所示為一個典型的半橋LLC諧振變換器電路:

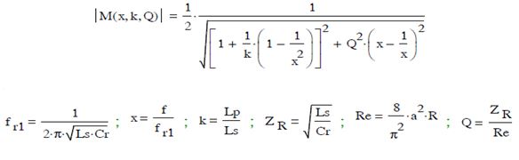
其等效電壓傳輸關系為:

fr1為諧振腔的諧振頻率
x為開關頻率相對諧振頻率的歸一化值
k為變壓器勵磁電感量與諧振電感量的比值
Zr為諧振腔特征阻抗
Re為等效的負載交流阻抗
Q為品質因數
根據電壓傳輸關系公式可以畫出在不同變量條件下的電壓傳輸關系曲線:

參考以上LLC諧振變換器的電壓傳輸比曲線,可以總結出LLC變換器具有以下特點:
1.當變換器設計工作在藍色區域(ZVS-零電壓開關)時,LLC變換器一次側開關管在全負載范圍內實現零電壓開通,開關管的開關損耗降至幾乎為零。同時,二次側的整流二極管可以實現零電流開關,幾乎不存在反向恢復的問題,從而減少了損耗和對EMI的影響。
2.配合前級PFC電路,LLC變換器可以在寬負載范圍內通過調節開關頻率來可靠地穩定輸出電壓。同時,LLC變換器還可以依靠其電壓增益調節能力的優勢,在不增加輸入電解電容容量的前提下,提供更長的保持時間。
3.由于LLC諧振變換器能夠實現開關元器件的軟開關,開關損耗低,為提高開關頻率,減小磁性器件體積創造條件,進而可以保持效率高的前提下,實現開關電源的小型化,高功率密度化,在無風扇散熱設計條件下,保持元器件的低溫升,從而確保了電源的壽命和可靠性。

此外,CUS350M系列憑借新技術的應用,實現了1U高度的扁薄緊湊型設計,在自然冷卻條件下達到8.7瓦/立方英寸的高功率密度,在業界處于領先水平,其小型化的設計使其適于更多的設備安裝需求,自然冷卻可以減少粉塵堆積造成的侵蝕,無風扇噪音為使用者營造安靜、舒適的應用體驗。
相關閱讀:
LED開關電源的EMI干擾源就這些了!
制服開關電源適配器的輸出電源噪聲,兩招就搞定!
別小看了開關電源對LED顯示屏的作用!



