中心議題:
- 電路總體結構
- 解調器設計
- 解碼器設計
解決方案:
- 物理層數據編碼進行改進
- 調制方式進行改進
摘要: 根據UH F RFID閱讀器實現的IQ 兩路正交調制解調的零中頻方案, 設計和實現了閱讀器基帶處理芯片接收端電路,包括電路總體結構及解調器、解碼器等關鍵模塊的設計, 完成其RTL設計、仿真及FPGA原型驗證。該設計在物理層數據編碼、調制方式及其他關鍵技術進行了改進, 性能上有很大的提高。
UHF RFID技術將廣泛應用于各個行業領域, 可靠的閱讀器是UHF RFID系統的重要組成部分, 而基帶處理芯片能夠為閱讀器設計提供基帶信號處理解決方案。結合UHF RFID技術本身所固有的特點, 本文的閱讀器設計采用了IQ 兩路正交調制解調的零中頻方案。整個閱讀器由射頻前端和基帶處理兩個部分組成, 射頻前端對發送基帶信號進行上變頻和功率放大等處理后發射給電子標簽, 然后在接收到標簽的返回信號時, 對接收信號進行放大、濾波、下變頻等處理后將基帶信號傳輸給基帶處理芯片。
本文介紹基于ISO / IEC 18000 6C 協議的UHF RF ID閱讀器基帶處理芯片接收端電路的設計, 該電路可以與基帶處理發送端、中央處理器( CPU )集成, 共同構成整個基帶處理芯片。
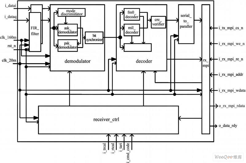
1 電路總體結構
UHF RFID閱讀器基帶處理接收端電路的總體結構如圖1所示, 主要包括輸入基帶信號低通濾波器、解調器、解碼器、數據串并轉換模塊、信息傳遞接口(MPI)模塊和接收機控制模塊六個功能模塊。
從ADC 采樣進來的兩路基帶正交信號i_data i和i_dataq首先經過低通濾波器FIR _ filter進行濾波, 以便后級電路對信號進行處理。
UHF RFID閱讀器基帶處理接收端電路框圖

圖1 UHF RFID閱讀器基帶處理接收端電路框圖
濾波后的I和Q信號進入解調器demodu lator, 調制方式自動識別子模塊mode_d iscrim inator首先識別接收信號的調制方式, 之后選擇對接收信號進行ASK或者PSK 解調得到沒有實現位同步的信號, 最后位同步子模塊bit_synchrono izer從該信號提取出位同步時鐘并判決得到同步二進制數據流。解調后數據流與提取出來的同步時鐘脈沖一起輸出到解碼器decoder, 按照FM0或M iller編碼規則對數據進行解碼,同時檢查編碼規則并對編碼規則錯誤進行計數。若沒有出現編碼規則錯誤, 還將在CRC 校驗子模塊crc_verifier中對解碼后的數據進行CRC 16校驗。
解碼出來的信號是串行的, 而在信息傳遞接口模塊rx_mp i中的接收緩存是并行輸入的, 所以將數據存入緩存中之前由數據串并轉換模塊serial_to_para lle l完成串行數據轉換為并行數據。該模塊產生接收緩存的寫數據、寫地址和寫使能信號, 并對接收到的數據進行計數, 計數結果放在rx_mp i中指定的寄存器中供CPU 查詢。數據串并轉換模塊同時檢測緩存是否溢出并給出緩存溢出錯誤標志信號,在每一幀數據結束處給出幀結束脈沖信號。
信息傳遞接口模塊rx_mp i主要負責基帶處理電路(包括接收端、發送端)和CPU 之間的數據通信。
[page]
該模塊首先把接收到的數據寫入接收緩存中, 并在結束時置數據準備好標志寄存器DATA _RDY 有效(在出現幀起始檢測發生超時錯誤時也置數據準備好標志寄存器DATA _RDY 有效)以通知CPU 取走數據,同時寄存各種錯誤標志信號和錯誤計數值到相應寄存器供CPU 查詢。除此, rx _mp i還負責接收來自CPU的指令信息并配置相應的控制寄存器。
接收機控制模塊receiver_ctrl是接收部分的中央控制模塊, 根據控制寄存器中的配置信息輸出各個模塊需要的控制信號, 用以配置各個功能模塊的工作模式。
2 解調器設計
解調器主要包括ASK 解調、PSK解調、解調模式識別和位同步四個子模塊。解調模式識別子模塊根據CPU 的配置或接收信號的特征決定采用ASK 或PSK 解調方法對信號進行解調, 位同步子模塊從接收數據中提取位時鐘信號用來重新同步接收數據。
2. 1 ASK解調子模塊
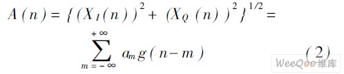
當閱讀器接收來自電子標簽的信號采用ASK調制時, 接收信號可以用如下表達式表示:

式中, am 為輸入碼元, 取0或1; g ( n - m )是幅度為1、寬度為單個碼元持續時間的波形函數; 接收信號的載波頻率ω‘c與接收機本地載波頻率ωc 存在頻率偏移, 且兩者之間還有相位差△φ, 與閱讀器發射天線和電子標簽之間的距離有關; n0 為接收到的加性噪聲。
一般的ASK解調在對S ( n )進行正交分解得同相和正交分量I 和Q 后, 求其平方和與開方。可得:

即: 對A ( n )進行抽取判決, 便可以恢復出碼元信號。
本文根據UHF RFID 技術的特殊性, 采用如下方法對ASK 調制信號進行解調: 雖然I’和Q‘隨著閱讀器與標簽之間距離的改變而變化, 變化時強時弱,但是I’和Q‘具有功率互補性, 即在I’最弱的時候Q‘最強或者相反。根據這個特點, 本文在每幀標簽返回信號的幀前導序列出現時比較I’和Q‘的強度, 然后選擇信號比較強的一路分量進行判決。
ASK 解調示意圖

圖2 ASK 解調示意圖
2. 2 PSK 解調子模塊
當閱讀器接收來自電子標簽的信號采用PSK調制時, 接收信號可以用如下表達式表示:

式中A0 為信號穩定幅度值, Φm 為調制相位值(BPSK調制時取0或π), g ( n - m )、頻率偏移、相位差△φ 、n0 與對式( 1)的描述相同。
載波頻偏和相差將會影響PSK 信號的正確解調, 所以在對PSK 信號進行解調時必須進行載波同步。PSK 解調的具體實現電路如圖3所示, 由相位旋轉、相位誤差提取和二階相位跟蹤環三部分組成。
PSK解調示意圖
圖3 PSK解調示意圖
[page]
在相位旋轉過程中有四個乘法運算, 而若在用硬件實現時直接調用四個硬件乘法器, 將會消耗很大的硬件資源。所以本文在設計中只使用一個乘法器, 然后用一個計數器來控制分時復用, 從而節省資源。
為實現相位跟蹤, 相位誤差提取部分根據MAP算法來估計得到相位誤差信號θe ( n )。θe ( n )反映了環路跟蹤相位的程度, 但不能直接用于相位旋轉,因為: 1.存在噪聲干擾; 2.由于存在載波頻率偏移,載波相位誤差會隨時間積累。所以需要對θe ( n)進行濾波和積分, 進而實現相位跟蹤, 其實現如圖3中的二階相位跟蹤環部分所示。
設計中, K 1、K 2 分別取值1 /256、1 /8。用硬件實現時, 乘K 1、K 2 的運算可以用簡單的右移運算來完成, 而不必調用復雜的硬件除法器。
3 解碼器設計
解碼器包括FM0解碼器、M iller解碼器、CRC 校驗器、幀起始超時檢測和解碼結果同步輸出控制五個主要子模塊。FM 0 /M iller解碼后的數據data 若需要進行CRC 校驗, 則進入CRC 校驗器進行CRC校驗并輸出校驗結果。由于幀結束在有的情況下不能完全確定, 而需要借助CRC 校驗來確定幀的結尾, 所以在解碼器r中還有一個解碼結果同步輸出子模塊用來控制同步解碼結果輸出。幀起始超時檢測模塊是用來進行幀起始超時檢測的, 當輸入有效數據后超過規定時間沒有檢測到正確的幀起始序列, 則輸出錯誤標志脈沖。
3. 1 FM0解碼子模塊
FM0解碼子模塊由幀起始檢測、FM0 解碼/編碼規則檢測/幀結束檢測以及輸出同步脈沖產生三部分組成, 如圖4所示。
FM0解碼子模塊框圖

圖4 FM0解碼子模塊框圖
幀起始檢測部分中設有一個十八位的移位寄存器data_ r[ 17: 0] , 當檢測到幀起始序列(即data_ r[ 11: 0] = “ 110 100 100 011”) 時, 幀起始信號o _start輸出一個脈沖, 并置indecode有效, 表示開始接收到新的幀數據; FM0 解碼/編碼規則檢測/幀結束檢測部分, 在indecode有效時, 在解碼同步脈沖信號o_pu lse的同步下對data _r[ 2: 0]進行分析判斷, 若data_r[ 0]與data_r[ 1]相同則輸出o_data= ?1 , 反之則輸出o_data= “0”; 同時檢測da ta_r[ 1]與data_r[ 2] , 若兩個相同, 則出現了不符合FM0編碼規則的情況, 輸出編碼規則錯誤標志信號o _code_err為“1”; 在o_start脈沖后對i_pu lse進行二分頻得解碼輸出同步脈沖o _pulse, o_pu lse 用于同步解碼過程和解碼后數據輸出。
幀結束檢測采用計數檢測和幀結尾序列檢測結合的方法, 當data_r[ 7: 0] = “00 000 000”或接收到的數據比特數到達幀數據長度length則表示檢測到了幀結尾。但是注意若采用后者的方法, 由于結尾有一個比特的模糊, 即可能會多接收一個多余的?1 。
3. 2 M iller解碼子模塊
密勒解碼子模塊包括幀前導序列檢測與副載波解調部分、密勒解碼部分, 如圖5所示。電子標簽返回閱讀器的數據是突發傳輸的, 每一次數據傳輸前有幀前導序列, 所以在進行解碼之前需檢測到該序列。幀前導序列檢測與副載波解調部分在檢測幀前導序列后, 對信號進行副載波解調, 得到密勒編碼基帶波形。密勒解碼部分根據密勒編碼規則, 對密勒編碼基帶波形進行解碼, 并檢查傳輸數據是否違反編碼規則, 從而統計數據傳輸質量。
M iller解碼子模塊框圖

圖5 M iller解碼子模塊框圖
[page]
幀前導序列檢測與副載波解調部分首先對接收數據碼流進行相位翻轉檢測, 于相位翻轉(碼流中出現大凹槽或大凸槽)處在相位翻轉標志信號phase_invert上輸出一個脈沖。在幀前導序列中, 只有傳輸比特“1 ”時符號中間發生相位翻轉, 所以在進行幀前導序列檢測時若檢測到phase_ invert上有一個脈沖, 便可認為碼流中出現了一個“1” 。為增強抗干擾能力, 還需結合使用一個計數器cnt_ ipu l_sta對輸入數據同步脈沖i_pulse 進行計數以計量相鄰兩個相位翻轉的時間間隔, 當遇見phase _ invert脈沖或cnt_ipul_sta計數到2×M 時便清零重新計數。整個解調過程用一個有限狀態機控制。
經過副載波解調, 得到密勒編碼基帶數據data及其同步脈沖信號data_pu lse。在密勒解碼模塊, 設置長度為10的移位寄存器data_r[ 9: 0], 在data_pulse的同步下將data 逐位移入data_r[ 9: 0]。隨后根據data_r[ 9: 0]的內容進行密勒解碼。解碼過程中有一個計數器對解碼后的比特進行計數, 當計數結果和幀數據長度相同或者檢測到幀結尾序列(即data _ r[ 7: 0] =8’b01 000 000或8’b10 111 111)時, 則輸出o_end脈沖表示解碼結束, 停止解碼, 等待下一幀數據的到來。
4 設計實現與仿真驗證
以上設計方案采用V er ilog HDL實現, 并在NCVerilog中進行功能仿真。對解調器模塊和解碼器模塊的仿真結果分別如下圖6、圖7、圖8、圖9所示。
ASK解調模塊仿真結果——相位偏移為10°

圖6 ASK解調模塊仿真結果——相位偏移為10°
PSK解調模塊仿真結果

圖7 PSK解調模塊仿真結果
FM 0解碼模塊仿真結果—— 解碼正確

圖8 FM 0解碼模塊仿真結果—— 解碼正確
M iller解碼模塊仿真結果——解碼正確

圖9 M iller解碼模塊仿真結果——解碼正確
本文還選用A ltera的EP3C16Q240C8N FPGA,根據具體應用開發了閱讀器的基帶處理電路板, FPGA 中包括了嵌入式處理器軟核N IOS II、基帶處理接收端電路RTL和發送端電路RTL代碼, 由該基帶處理板與射頻前端電路一起組成UHF RFID 閱讀器的驗證平臺。通過該驗證平臺本文完成了基帶處理接收端電路RTL設計的原型驗證。
軟件仿真結果表明, 解調器能在各種不同相位偏移情況下對接收到的ASK 信號進行正確解調, 對頻率偏移量處于快捕帶內的PSK 調制信號能夠很快實現載波相位跟蹤進而實現正確解調; 解碼器能夠對正確的FM0 /M iller輸入數據進行解碼, 并且可以檢測到幀起始檢測超時錯誤和違反FM0 /M iller編碼規則錯誤的情況。FPGA 原型驗證結果表明,整個閱讀器基帶處理電路包括其接收端電路可以滿足設計要求。



