中心議題:
- 典型低功耗無線鏈路
- 低功耗無線鏈路的理論通信距離
- 優化接收靈敏度的方法
本文中,在遵守FCC有關開放式 ISM 頻帶(915MHz 或 2.4GHz)通用單通道無線電設備規定的前提下,我們將討論優化低功耗無線系統傳輸距離的一些方法。FCC規定,對于這些器件,基頻輸出功率不應超出-1.25dBm。如果需要額外增加鏈路裕量,則會簡要介紹 FCC 規范要求。
典型低功耗無線鏈路
典型的低功耗無線鏈路由一個發送器件和一個或多個接收器件組成。發送器件由一個調制器、合成器、升頻混頻器和一個功率放大器(PA)組成。接收機由互逆器件、低噪聲放大器(LNA)、降頻混頻器、合成器和解調器組成。

圖 1:典型低功耗無線發送器(頂部)和接收器(底部)結構圖。
這是低功耗無線設備在性能和功耗之間的一種折中方法。
外部放大器(不管是外部 LNA 還是外部 PA)添加到需要遠距離通信的系統中以增加鏈路裕量。圖 1 給出了在接收端添加一個外部 LNA 來優化無線鏈路裕量的方法。這樣即符合 FCC 規定,又可以在不增加發射端復雜性的情況下提升鏈路裕量。
低功耗無線鏈路的理論通信距離
無線鏈路通信距離的理論極限值由弗里斯(Friis)方程式決定(請參見式1):

式中,Pr=接收功率,Pt=發射功率,Gr=接收天線增益,Gt=發射天線增益。通信距離=天線距離(米)。
弗里斯方程式定義了無線鏈路的理論極限。然而,在所有現實系統中,實際鏈路做不到如此。
[page]
例如,如果使用弗里斯方程式計算一個2.45GHz 無線鏈路的最大通信距離,其發射功率為-1.25dBm,接收靈敏度為-100dBm 以及兩個天線增的益都是2.14dBi。需要注意的是,2.14dBi 是偶極天線的理論增益,而考慮損耗時一般達不到這一值。

然而,如果您想在真實環境中實現這些結果,您會很快發現這是不切實際的。主要原因是,自由空間輻射的假設并不適用于地面系統。就一些可視距離應用而言,100-200 米距離的無線鏈路應用效果較好,而典型多路徑環境中50-100 米距離效果較好。
要增加系統的通信距離,您可以選擇下面的一種或多種方法。每種方法都有系統增益,但卻是以功耗或者總系統成本為代價。
首先,需要考慮工作頻率和天線。兩者均不產生電流消耗,因此應該在添加外部功率放大器和/ 或低噪聲放大器之前對其進行評估。
1、通信距離與RX 和TX 天線增益的平方根有關,而且,隨著天線規格的提高,尺寸和價格也隨之增加。
2、工作頻率與通信距離存在線性關系。工作頻率越低,通信距離越遠。但是,可用帶寬會隨頻率降低而減少,從而導致數據傳輸速率降低。
以下兩種方法也可以增加系統通信距離,但同時也增加功耗和總系統成本。
1、增加發送器(Pt)輸出功率可以增加通信距離,通信距離與輸出功率的平方根有關。例如,CC2590 可提供14dBm 功率,電流消耗為25mA,這樣可為系統帶來15.25dB 的改善,CC2591 可提供22dBm, 可以為系統帶來23.25dB 的改善,但是電流消耗高達112mA。
2、通信距離也與輸入靈敏度(Pr)的平方根有關,所以可以增加輸入靈敏度來增加通信距離。典型的外部LNA 消耗約2-4mA 的電流。因此,如果能獲得滿意的性能,在不考慮FCC/ETSI 規定的情況下,相比外部PA,這種方法具有一定的優勢。
對于發射功率要求超過-1.25dBm 的系統而言,FCC 要求使用跳頻方案來滿足規范[1]。這種方案為處理器密集型,實施起來具有一定的挑戰性。因此,對于真正的低功耗無線系統來說,使用其他方法增加通信距離可能更好一些。
為了*估提高接收靈敏度的可能性,我們使用了CC1101(一款工作在915MHz 的低功耗無線收發器)來進行實驗。我們之所以選擇這款器件是因為它工作在我們此處討論的兩個頻帶以下。
優化接收靈敏度的方法
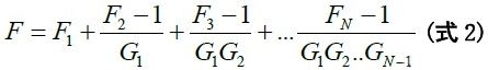
接收機的接收靈敏度值受接收機鏈中許多構件的影響。請參見圖1 所示的低功耗無線接收機的典型架構。如果忽略線纜和匹配損耗,接收機中便只剩下四個子系統:內部LNA、降頻混頻器、模數轉換器(ADC)和探測器。

式中,F=總系統噪聲系數,Fn=每個子系統的噪聲系數,Gn=每個子系統的增益(損耗)。
在給定每個子系統的噪聲數(Fn)和增益(Gn)情況下,式2 代表接收級的級聯噪聲系數。請注意,首個子系統的噪聲系數為總噪聲系數的主要組成部分。如果首個子系統表現為高增益,則系統其余部分的噪聲系數就變得沒有意義。這是因為,每個后續系統的噪聲系數均被前一子系統的增益整除了。
通過測量某個系統給定比特率下的誤碼率(BER)性能,已知接收機(RX)濾波帶寬以后,那么就可以求解系統噪聲系數。CC1101和CC2500收發器的結果約為18dB。相比高級的外部LNA[3]其并非為最佳結果,但它比其它一些低功耗無線收發器更有競爭力。
在此實驗中,我們使用英飛凌BGB707L7 LNA添加到工作頻率為915MHz的CC1101無線電器件。CC1101無線電器件針對使用了9.6kHz頻率偏移FSK調制的38.4kbps低數據速率進行配置。外部LNA具有低于1dB的噪聲系數和20dB的增益,同時消耗2.5mA的電流[3]。極低噪聲系數和高增益的組合是此類尋求高接收靈敏度應用的理想選擇。
[page]
圖2顯示了近15dB的接收靈敏度改善,這一改善是在CC1101收發器前面使用英飛凌BGB707L7 LNA時獲得的。這些結果可移植到許多TI器件,其中包括CC2500和其他TI低功耗RF SoC器件(例如:CC2430和CC2530)。

圖2:有/無外部LNA的低功耗無線接收機的誤包率對比。本例中實現了15dB的增益改善。
本例中,通過使用CC2590添加一個外部LNA或增加一個外部PA得到了相同的鏈路裕量增益,即15dB。因此,將性能提高和功耗之間作對比就變得較為容易了。值得一提的是,CC2590要消耗25mA的電流才能增加15dB的鏈路裕量,而LNA僅消耗2.5mA的電流。因此,在增加更多輸出功率之前,給系統添加一個性能不錯的LNA是大有好處的。
本文小結
根據本實驗,在增加輸出功率以前,添加一個低噪聲放大器有助于優化接收機靈敏度,這是因為1)在增加相同通信距離的情況下,其具有更低的功耗;2)由于不需要任何跳頻方案[1],其降低了發送器的復雜性。



