【導讀】許多應用利用精密電流源提供恒定電流,包括工業過程控制、儀器儀表、醫療設備和消費電子產品。例如,過程控制系統利用電流源提 供電阻溫度檢測器(RTD) 所需的激勵電流;數字萬用表利用電流源測量未知電阻、電容和二極管;長距離信息傳輸廣泛使用電流源來 驅動4 mA至20 mA電流環路。
精密電流源傳統上采用運算放大器、電阻和其它分立器件構建,但存在尺寸、精度和溫度漂移等方面的不足。現在,高精度、低功耗、低成本集成 差動放大器 1, 例如( AD82762) 的出現,使得尺寸更小、性能更高的電流源變成現實,如圖 1所示。反饋緩沖器使用低失調、低偏置電流放大器,例如 AD8538, AD8603, AD8605, AD8628, AD8655, AD8661, AD8663, OP177, 或 OP1177, 具體取決于所需電流范圍。

圖1. 差動放大器和運算放大器構成精密電流源
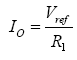
輸出電流可以通過下式計算:

如果 Rg1 = Rg2 = Rf1 = Rf2, 上式可簡化為:

最大輸出電流受以下因素限制:運算放大器輸入范圍、差動放大器輸出范圍以及差動放大器SENSE引腳電壓范圍。必須滿足下列三個條件:

SENSE引腳可以耐受幾乎為電源兩倍的電壓,因此第二個限制條件相當寬松。 2.5V至36V的寬電源電壓范圍使得A D8276成為許多應用的理想之選。 A級和B級的最大增益誤差分別為0.05%和0.02%,因此電流源精度最高可達0.02%。
配置變化
對于可以接受稍大誤差的低成本應用,可以移除反饋緩沖器以簡化電路,如圖2所示。
如果
則輸出電流為:

對于


圖2. 去掉反饋放大器的簡化電路
如果所需輸出電流小于A D8276的輸出能力15 m A,則可去掉升壓晶體管,如圖 3所示。如果低電流和降低精度均能接受,則可采用更為簡單的低成本配置,如圖4所示。

圖3. 針對低電流應用的簡化電路

圖4. 針對低成本、低電流應用的簡化電路
圖5所示的拓撲結構可以用于高電流、高精度應用,運算放大器輸入范圍無限制。

圖5. 差動放大器和匹配電阻構成精密電流源
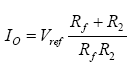
輸出電流可以通過下式計算

如果完全匹配, Rg1 = Rg2 = Rf1 = Rf2 = 40 kΩ 且 R1 = R2, 則輸出電 流為:

外部電阻R1和R2應具有超高精度和匹配度,否則輸出電流將隨負載而變化,由此產生的誤差無法通過軟件來校正。
外圍器件
輸入電壓VREF可以是DAC輸出、基準電壓源或傳感器輸出。如果需要可編程電流源,推薦使用精密14位或16 位DAC,如 AD5640, AD5660, AD5643R, 和 AD5663R 等。至于基準電壓源,要求更高性能時推薦使用 精密基準源 ADR42x和 ADR44x 要求低功耗時推薦使用 ADR36x 要求低成本時推薦使用;AD158x和ADR504x 要求小尺寸時推薦使用集成 運算放大器與基準電壓源ADR82x。
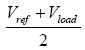
基準電壓源可以連接到AD8276的反相或同相輸入端。如果使用同相輸入,共模電壓為

輸出電流為

如果使用反相輸入,共模電壓為
輸出電流為

使用反相輸入時,需要一個緩沖放大器;因此,建議使用同相輸入,以簡化電路。
晶體管選擇
選擇升壓晶體管時,務必使VC高于電源電壓,并使IC高于所需輸出電流。推薦使用 2N3904、2N4401和2N3391等低成本晶體管。電流較低時,無需使用晶體管。
實驗基準結果和分析
使用圖1電路測得的輸入電壓與輸出電流的關系如圖6所示。A D8276和AD8603采用+5 V電源供電。 R1的容差為0.1%。晶體管為2N3904。基準電壓以0.01V步進從0.05 V掃描至1.20 V。輸入范圍受電源和 AD8603輸入范圍的限制。
最大誤差為0.87%,平均誤差為0.10 % 。電流檢測誤差受外部電阻的限制。較高精度的電阻可以產生較高精度的電流源。

圖6. 使用差動放大器和反饋放大器的測試結果
結束語
差動放大器A D8276具有低失調電壓、低失調電壓漂移、低增益誤差、 低增益漂移特性以及集成電阻,可以用來實現精確、穩定的電流源。寬電源電壓 范圍(2.5 V至36 V)使其能支持各種各樣的負載。節省空 間的8引腳MSOP封裝和低功耗特性,則使它非常適合電池供電的便攜式系統。采用差動放大器實現精密電流源可以縮小 PCB面積,簡化布局,降低系統成本,提高可靠性。
附 錄:差動放大器
表 1

Part 2

推薦閱讀:



