【導讀】自集成電路出現以來,IC溫度傳感器一直是設備設計的一部分。設計人員想盡辦法減少溫度對芯片系統的影響,集成溫度傳感器已可輕松解決-55至200?C溫度范圍內的大部分問題,而最新一代的溫度傳感器可以在0.76mm2的封裝內達到±0.4?C的精度。
IC設計人員歷經波折,試圖將溫度對芯片系統的影響減到最小。峰回路轉,一位IC設計師突然有了一個絕妙的想法:何不積極開拓利用有源電路p-n結的溫度行為,而不是局限于絞盡腦汁將其影響最小化。
自進入IC設計時代,集成電路(IC)溫度傳感器不經意就成為器件設計的一部分。IC設計人員歷經波折,試圖將溫度對芯片系統的影響減到最小。峰回路轉,一位IC設計師突然有了一個絕妙的想法:何不積極開拓利用有源電路p-n結的溫度行為,而不是局限于絞盡腦汁將其影響最小化。而將數字功能集成到同一芯片的設計師更是腦洞大開,正是他們孕育出目前的溫度傳感器IC。
集成的溫度傳感器可以輕松解決-55至200ºC溫度范圍內的大部分溫度感測難題。
輸入端
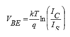
溫度傳感器IC的輸入是環境溫度。換句話說,封裝周圍的環境溫度會改變內部晶體管的行為(圖1)。

圖1:這一概念電路顯示了匹配的晶體管如何檢測溫度。
溫度感應設計通過巧妙的配置和計算來消除晶體管飽和電流(IS)的影響。使用恒流源(IC)以及晶體管和等同晶體管陣列之間的開關很容易控制飽和電流。
在圖1中,我們看到VBE 和VBE(N)之間的差是如何輕松對應溫度變化的。公式
(1)顯示了晶體管基極-發射極電壓VBE的值。
公式( 1)其中:
k是玻耳茲曼常數,等于1.38×10-23J/K;
q等于1.6021765×10-19C;
T是以K為單位的溫度。
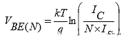
公式(2)顯示了許多并聯晶體管的基極-發射極的VBE(N)值。
公式(2)如果將電流源IC從一條引腳切換到另一條引腳,則公式(3)顯示了這兩個基極-發射極電壓之間的差。
公式(3)通過計算,得出:
CONSTANT=k × ln(N)/q 或86.25×10-6 × ln(N)。
從概念上講,它讓你知道如何在IC級快速測量溫度。對圖1中的電路做少許改進,IC溫度感測精度可高達±0.4ºC。
輸出端
現在我們有了準確的溫度讀數,如何向外界呈現此最終數值很重要。顯示溫度數據有兩種基本方法:模擬電壓或數字值。
模擬電壓輸出非常容易讀取。使用適當的溫度感應裝置,你可以捕獲模擬信號,將其轉換為數字表示或回饋到電路中的某個點。
溫度傳感器的數字輸出能力更有趣,有許多輸出類型可選,但主要是1線、2線或3線輸出。
1線數字輸出可提供脈寬調制(PWM)的脈沖計數信號或簡單的閾值/開關信號。這兩種信號在風扇控制電路中都很有用。2線數字輸出提供I2C或SMBus信號。數字結果是內部模數轉換器的副產品。你還可以看到代表閾值溫度和可能的錯誤條件的數字輸出。3線數字輸出提供一個SPI接口。
溫度傳感器件的晶圓級封裝
每個產品都有從粗陋到精細的發展過程,溫度傳感器系列也在不斷改進。該產品系列接下來將在器件封裝的尺寸上有巨大突破。最新溫度傳感器件的外殼采用晶圓級封裝(WLP)。
1998年,桑迪亞國家實驗室和富士通開發了WLP。該封裝在切割工藝之前,已完成晶圓級制造,其組裝以標準的表面貼裝技術(SMT)實現。
這種封裝技術帶來了超小型封裝外形和低θ結-環境值。這一代溫度傳感器的尺寸使采用標準0603封裝的標準0.1μF電容相形見絀(圖2)。

圖2:WLP溫度傳感器(U1/MAX31875)尺寸比SMT的0.1μF電容(C1)小。
在飯桌上
因為新封裝尺寸小,你可以將溫度傳感器任意放置在PCB上,就像你做晚餐時撒鹽和胡椒面一樣。最新一代的溫度傳感器可以在僅占0.76mm2 PCB面積的封裝內實現±0.4ºC的精度。
推薦閱讀:





