【導讀】大多數功率模塊包含一個NTC溫度傳感器,通常它是一個負溫度系數熱敏電阻,隨著溫度的增加其電阻會降低。因為其成本較低,NTC熱敏電阻可以作為功率模塊溫度測量和過溫保護的器件,但是其它器件如PTC正溫度系數電阻是更適合用來做具體的溫度控制應用。使用溫度傳感器的信息相對比較容易,但是需要注意系統內涉及到安全的考慮。
大多數功率模塊包含一個NTC溫度傳感器,通常它是一個負溫度系數熱敏電阻,隨著溫度的增加其電阻會降低。因為其成本較低,NTC熱敏電阻可以作為功率模塊溫度測量和過溫保護的器件,但是其它器件如PTC正溫度系數電阻是更適合用來做具體的溫度控制應用。使用溫度傳感器的信息相對比較容易,但是需要注意系統內涉及到安全的考慮。
一.模塊內部的NTC熱敏電阻概要
NTC熱敏電阻器是放置在靠近功率管芯的位置,在相同的陶瓷襯底上,如圖1

圖1 NTC熱敏電阻在襯底上的位置
由于自身發熱可以忽略,NTC熱敏電阻保持幾乎和功率模塊的CASE相同的溫度,同時,因為功率模塊CASE到heatsink的熱阻RCS一般來說非常小,所以測量的溫度一般是和heat sink溫度比較接近。NTC熱敏電阻通常不用于監控功率模塊的結溫,因為它將需要被集成到功率die中,而不是這里的CASE部分,相反,結溫可以基于NTC熱敏電阻溫度,和CASE到heat sink熱阻去估計,接下來會討論。
NTC熱敏電阻是非常有用的,因為如下特性:作為保護電源系統免于由于過熱或者過冷的系統故障,低成本,比熱電偶更加的敏感的響應,容易使用,不受噪聲影響,溫度范圍和功率模塊運行溫度范圍比較匹配等。一個NTC熱敏電阻具有一個時間常數,大概為幾秒鐘,意味著它需要幾秒鐘去檢測到功率模塊內部的溫度改變事件。
因為它的響應較慢,NTC熱敏電阻不適合檢測溫度的快速改變,因此可以僅僅用于基于溫度慢速改變而保護系統,NTC熱敏電阻不能用于短路或者過流保護,NTC熱敏電阻的響應是指數型的,盡管它具有非線性,NTC熱敏電阻對于模塊溫度測量還是很有用的,原因如下:
簡單的門限電路可以用來表示一個過溫條件,接下來會討論。指數響應可以被模擬電路處理,或者基于數字控制系統的軟件處理。
二.模塊內部的NTC電路設計方法
用于功率模塊的NTC的熱敏電阻具有如下的特性,如圖2所示,
1.25C下的電阻為22kohm,50kohm。
2.B25/85的曲線擬合常數分別為3980K,3952K。
3.NTC熱敏電阻響應方程如下,RT是熱敏電阻阻抗,T是開爾文溫度,T25是25C下的開爾文溫度,298.15K。

圖2 NTC熱敏電阻的典型特性

圖3 NTC熱敏電阻的指數響應方程

圖4 NTC熱敏電阻比較器電路
NTC熱敏電阻可以容易的用于模塊保護場景,而不計算實際的熱敏電阻溫度,比較跨過NTC熱敏電阻的電壓和一個參考電壓,如果它變得太熱就停止模塊工作,以減小模塊失效的風險。如果NTC熱敏電阻放置在電阻分壓器的下端,如圖4,隨著NTC熱敏電阻的溫度增加,輸入比較器的電壓從供電電壓VREF1降低到比較器觸發電壓VREF2。
假定溫度觸發電壓需要設置在100C,比較器處的電壓分壓設置在參考電壓的一半,如VREF1/2,上面的電阻R1需要設置為和NTC在100C時的阻抗相同,熱敏電阻阻值在給定的溫度下可以使用圖3的方程1計算,或者按照查表方式得到。在這個例子下,100C時,RT=T1=3.43kohm,如果熱敏電阻溫度低于100C,比較器輸出是高電平,如果熱敏電阻溫度高于100C,比較器的輸出狀態是低電平的。
熱敏電阻NTC的位置和R1可以交換,在這個例子下,隨著溫度的增加,輸入比較器的電壓從0V增加到觸發電壓VREF2,不管R1和NTC熱敏電阻的位置如何,其時間常數和噪聲免疫度是固定的。實際應用中,比較器需要一個滯環,電阻R1和R2需要調整一下設置一定量的滯環電壓,滯環基于比較器的輸出擺幅,通過R1//RT并聯和R2的分壓決定,假定比較器的輸出擺幅是Rail to Rail的,如圖2所示,可以計算滯環。

圖5 計算比較器滯環電阻
為了增加NTC熱敏電阻的噪聲敏感度,這里顯示在額定溫度下幾千ohm的電阻,推薦去并聯一個電容,這個電容在圖4中是C1,必須要在10-100nF之間,即使使用100nF去耦電容,25C下的時間常數僅僅只有320微秒,它可以確保一個非常高噪聲敏感度,并且遠低于NTC熱敏電阻本身的時間常數的1000倍。在大多數的情況下,10nF去耦電容是確保噪聲敏感度的足夠的容值。
需要注意一點,不管溫度是多少,熱敏電阻的最大功率不能超過20mW,以此確保溫度測量不受到自熱的影響。
解方程1,得到開爾文溫度,如公式2,

圖6 計算開爾文溫度
我們若知道B25/85和T25,R25的值,例如3952K,298.15K,50K等,一旦我們確定了RT的值,我們就可以計算溫度,參考圖4,VT電壓是跨過NTC熱敏電阻的電壓,計算如圖7,這很容易。一個溫度對應一個RT值,對應一個電壓分壓。

圖7 計算熱敏電阻電壓VT
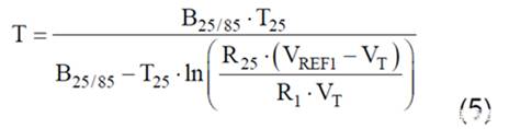
最終,我們可以解出熱敏電阻阻值,RT為如下,注意如果R1具有中性的溫度系數,則計算精度會改善。最終方程4可以帶入到方程2,去計算得到熱敏電阻的開爾文溫度。

圖8 計算熱敏電阻阻值

圖9 計算熱敏電阻溫度
基于方程5的結果,可以將開爾文溫度轉化為攝氏度,通過減去273.15實現。方程5看起來相當復雜,但是可以通過數字控制系統中的MCU或者DSP來簡單的解出來,方程5可以用一個excel程序去創建一個表格,存儲在頭文件中,減小數字控制器中的溫度計算的運行時間,NTC熱敏電阻保持和功率模塊CASE相同的溫度,因此熱敏電阻可以簡易的用作功率模塊基板CASE溫度Tc。
總的來說,對于NTC熱敏電阻來說,一個溫度對應一個電阻,而基于電阻就可以確定比較器電壓,根據這個關系最終可以反推出實際測量溫度。
知道模塊的case溫度Tc,Jc熱阻,每一個die的功耗,功率模塊die的溫度可以使用如下公式計算得到,

,Heat sink溫度可以用如下公式計算,

,由于越往外溫度越低,可以得到,這里THS是heat sink溫度,P是模塊的功耗,RCS是case到heat sink的熱阻。
因為功率模塊的case到heat sink的熱阻RCS一般是很小的,熱敏電阻的溫度可以認為接近heat sink的溫度,如果合適,-5到-10C的糾正可以從溫度測量中減掉,去估計heat sink的溫度,例如,基于0.1C/W的case到heat sink熱阻,需要用糾正10C對應于100W的模塊的功耗。
三.使用NTC電阻在系統安全上的考慮
極限條件下的等離子氣體產生,使得模塊內部嚴重損壞,導致功率管芯損壞,等離子體氣體的傳播是不可預測的,它可能接觸到NTC熱敏電阻,將它置于危險的高壓下。使用NTC熱敏電阻的溫度監控顯示出這部分電路具有潛在暴露在高壓中的風險,系統設計者需要去確保通過合適的測量,去提供可靠的絕緣。
以下是一些例子,可以獲得好的絕緣,
1.NTC熱敏電阻用于比較器電路,它和控制邏輯通過光耦隔離,通常來說,其它保護如短路,過流,過溫等都基于開關電平切換執行,故障信號可以疊加在一起,通過相同的光耦來傳輸。
2.完整的系統通過合適的材料或者保護罩覆蓋。
3.每一個應用都是獨特的,設計者必須采取最高效的方式去確保系統操作者的安全。
總結,上述文章簡單分析了碳化硅功率模塊內部的NTC電路的設計思路和注意事項,可以對碳化硅功率模塊的這一溫度保護特性得到比較全面的認識。
參考文獻,APT0406 ,Using NTC Temperature Sensor Integrated in Power Module
(來源:電源漫談)
免責聲明:本文為轉載文章,轉載此文目的在于傳遞更多信息,版權歸原作者所有。本文所用視頻、圖片、文字如涉及作品版權問題,請聯系小編進行處理。
推薦閱讀:



