【導讀】負反饋電路分析最常見的方法是雙端口分析(TPA)和回歸比(RRA)分析。兩者既有不同,也有相似,常讓人困惑,本設計實例用大家熟悉的電路實例深入闡述這兩種技術。在圖1的兩個框圖中,使用下標TP和RR來區分雙端口和回歸比這兩種類型。
具體而言,αTP和αRR是開環增益,而ßTP和ßRR是反饋系數。圖1a假設是單向塊,圖1b則更通用,因為它還考慮了誤差放大器周圍的饋通(feedthrough),如增益塊αft所表示的。

圖1:(a)雙端口(TP)和(b)回歸比(RR)分析的負反饋框圖。
雙端口分析(TPA)
取決于sI和sO是電壓還是電流,有四種可能的拓撲結構,如圖2中的運放所示。在每個分圖題中,連字符前面的一項是指輸入相加的方式(串聯電壓,并聯電流),而連字符后面的一項是指反饋網絡采樣sO以產生反饋信號sF的方式(并聯電壓,串聯電流)。對每個拓撲結構,閉環增益呈現形式為:

其中:
是環路增益,Aideal是極限條件(TTP→ ∞)中sO/sI的值,通過使αTP→ ∞得到。另外,反饋系數是:

圖2:使用運放來說明四種基本反饋拓撲。
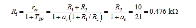
TPA尋求一種會考慮放大器和反饋網絡之間任何交互(如加載)的αTP表達式。負反饋將每個端口的開環電阻rpa轉換為閉環電阻,使這項任務變得容易:
8
串聯情況下為+1,并聯情況下為-1。如果TTP 足夠大,在串聯情況下可將R視為開路,在并聯情況下可將其視為短路。
作為第一個例子,我們將TPA應用到圖3a的電流放大器,該電路有:

為得到αTP,我們修改了誤差放大器,如圖3b所示。圖3a中輸入源看到的電阻是Ri= R2/(1 + αv),負載看到的電阻是Ro = R1(1 + αv)。對于大的αv,我們期望Ri很小、Ro很大。因此,如果我們將Ro近似為開路(OC),那么從放大器的輸入端口看到的反饋網絡就是R2 + R1的簡單串聯組合。同樣,如果我們

圖3:(a)端接于短路負載的并聯-串聯配置;(b)使用TPA查找開環參數αTP、ria,和roa的電路。
將Ri近似為短路(SC),則從放大器輸出端口看到的反饋網絡就是R2//R1的簡單并聯組合。因此我們有:

表明開環增益為:

注意,αTP ≠ αv。簡化后的循環增益:

重新考慮αv = 10 V/V和R1 = R2 = 10kΩ的例子。帶入上面的等式,給出:

盡管有OC和SC近似值,但通過與直接分析得出的 Aexact = 1.909 A/A相比,這相當有利。為確保這種近似性不是偶然的,我們來檢查Ri和Ro的值。通過檢查圖3b,我們有ria=R2+R1和roa=R2//R1。應用等式(4),我們得到:

從而證實Ri比電路中的其它電阻小得多,Ro大得多。
回歸比分析(RRA)
這種方法,如圖1b的塊圖所示,可計算閉環增益:

其中,TRR是環路增益,Aideal 和αft分別是TRR → ∞和TRR→ 0極限條件下sO/sI的值。這些極限是通過使圖1b中的αRR → ∞ 和αRR → 0來實現。根據以下流程,得到TRR為誤差放大器的從屬源αRRsE的回歸比:
(a)設置sI → 0; (b)在從屬源αRRsE的緊下游立即切斷反饋環; (c)與αRRsE源相同類型和極性的測試信號sT通過電路下游; (d)找到由從屬源本身返回的信號sR; (e)獲得回路增益作為回歸比。

隨著分析的進行,我們發現將TRR表達為積很方便,類似于公式(2):
得到反饋系數βRR:
或更簡單地,βRR=TRR/αRR。
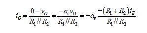
將這個過程應用于圖3a的電流放大器,產生了圖4a的電路,通過檢查,我們有vR = αvvD = αv(–vT),所以:
因此,αRR = αv和βRR = TRR/αRR = 1。使αv → 0,以便得到饋通增益,如圖4b所示。通過檢查,iO = iI,所以,αft= iO/iI = 1 A/A。再考慮αv = 10V/V和R1= R2 = 10kΩ的例子,我們現在有:
對比公式(14)與公式(8),觀察各個T、α和β值的不同。另外,ARR是準確的,而ATP只是近似。為了符合圖1a中采用單向塊這一假定,TPA通過使TTP = 20(與TRR = 10相比)盡可能地接近Aexact。對于αv的當前值來說,使TTP = 21(而非20)將導致ATP = Aexact,這可以很容易驗證。但是,對于饋通變得更相關的較低值(例如αv=1V/V)來說,它不起作用。 αv = 0時,差異最大,其中,ARR=Aexact=1 V/V,但ATP = 0。

圖4:用于得到圖3a中電流放大器的(a)環路增益TRR和(b)饋通增益αft的電路。

圖5:(a)并聯-并聯配置;(b)得到誤差增益αTP的電路。
更復雜的例子
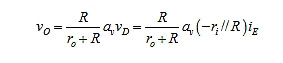
我們將這兩種方法應用于圖5a的I-V轉換器,但是使用具有非無限輸入阻抗ri和非零輸出阻抗ro的更真實的運放模型。正如我們知道的,該電路有:

由于這是一個并聯-并聯拓撲結構,所以反饋電阻同時為輸入和輸出兩個端口的接地電阻,如圖5b所示。我們有:

表明開環增益:

再次注意αTP ≠αv。而且,環路增益為:
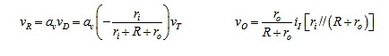
對于RRA,請參考圖6的電路,它分別給出:

所以環路和饋通增益簡化為:

注意,αft和Aideal極性相反。我們針對一種容易想象的特定情況,即αv = 60 V/V和ri= ro = R = 10kΩ,來比較這兩種方法。是的,用一款不太合格的運放,可以更好地顯示其差異。把這些數據帶入相關公式,得到:

圖6:用于得到圖5a中I-V轉換器的(a)環路增益TRR和(b)饋通增益αft的電路。
注意αTP和αRR以及βTP和βRR的幅值、極性和量綱的差別。ATP 和ARR (=Aexact)也有細微差別。
如果運放ro = 0,根據公式(18)將不存在饋通。在這種情況下,我們將得到:TTP = TRR = 30,ATP = ARR = –9.677V/mA。如果運放也有ri = ∞,則TTP = TRR = 60,ATP = ARR = –9.836 V/mA。然而,仍然會有很大的差異,即αTP = –600 V/mA和βTP = −0.1 mA/V,以及αRR = 60 V/V 和βRR = 1。盡管存在差異,這兩個參數集仍將設法提供相同的A值!
另外兩個例子
最后我們來看一看圖7a和b的單晶體管電路。圖7c中其共同小信號模型表明,誤差增益基于gm(在運放的盒子中,它是基于αv的)。而且,兩個電路都是串聯-輸入型的。然而,根據我們將輸出作為發射極電壓vo還是作為集電極電流io,分別有并聯-輸出或串聯-輸出類型。兩個電路都很簡單,可以直接分析它們。但是,通過TPA和RRA進行研究將更具啟發性。

圖7:假定gm = 40mA/V,rπ = 2.5kΩ,ro = 40kΩ和R = 1.0kΩ。(a)串聯-并聯電路;(b)串聯-串聯電路;(c)其共同的小信號模型。
● 圖7a串聯-并聯電路的TPA:為得到Aideal,讓gm → ∞,如圖8a所示。這使得vε→ 0或vo → vi,意味著Aideal = 1.0V/V (= 1/βTP)。參照圖8b,通過檢查,我們有vo=gm(R//ro)vε或αTP=vo/vε=gm(R//ro)。帶入數據,可以得到:

圖8:用于得到圖7a中串聯-并聯電路的(a)Aideal和(b)αTP的電路。
● 圖7a串聯-并聯電路的RRA:為得到TRR,參見圖9a,其中ir = gmvπ = gm[(-it)(rπ//R//ro)];為得到αft,參見圖9b,其中vo = vi(R//ro)/[rπ + (R//ro)]。所以:

帶入數據,得到:

圖9:用于得到圖7a中串聯-并聯電路的(a)TRR和(b)αft的電路。
● 圖7b串聯-串聯電路的TPA:為得找Aideal,讓gm → ∞,如圖10a所示。這使得vε→ 0,從而在rπ上產生虛擬短路,所以iR = vi/R。超級節點處的KCL給出io = iR = vi/R,所以Aideal=io/vi=1/R(=1/βTP)。要得到αTP,按圖10b繼續。結果如下:

帶入數據,得出:

圖10:用于得到圖7b中串聯-串聯電路的(a)TRR和(b)αft的電路。
● 圖7b串聯-串聯電路的RRA:為得出TRR,參見圖11a。 這與圖9a相同,所以我們有相同的TRR。要得到αft,按圖11b繼續。結果如下:

帶入數據,得出:
串聯-串聯電路的饋通比串聯-并聯電路的小,所以ATP →ARR。

圖11:用于得到圖7b中串聯-串聯電路的(a)TRR和(b)αft的電路。
比較TPA和RRA
前面利用以運放和晶體管作為增益元件(運放的增益為αv,晶體管的為gm)的簡單電路,討論了所有四種反饋拓撲結構。比較過程和結果,我們發現:
- RRA比TPA更通用,因為它考慮了誤差放大器周圍的饋通。因此,RRA的結果是準確的,而TPA的結果只是近似。
- 對于高環路增益,TPA和RRA之間的差別最小,當環路增益下降到零時,差別最大,其中ARR→αft但ATP→0。
- TPA將環路增益計算為乘積TTP = αTPβTP;RRA將其計算為比值TRR = –vR/vT。
- TPA對四種反饋拓撲中的每一種都使用了不同的雙端口表述,所以一般情況下,不同拓撲結構的αTP、βTP和TTP會不同。
- 相比之下,給定電路的環路增益TRR與拓撲結構無關,而是取決于輸入和輸出信號的類型和位置(但αft通常與拓撲結構相關)。
- 對于誤差放大器和反饋網絡之間的任何交互(如加載),兩種分析的處理方式都不同。TPA假定βTP = 1/Aideal,然后通過使用OC和SC近似來操控放大器電路以得到αTP,所以通常αTP≠αv(或αTP≠gm)。
- 除打破信號注入環路之外,RRA不會影響電路的操作。 RRA假定了αRR = αv (或αRR = gm),它將誤差放大器和反饋網絡間相互作用的影響轉移到反饋網絡本身,所以通常βRR≠1/Aideal。
- TTP和TRR有時可能相同,但不應該把這當作常態。尤其不應該使用TRR來計算ATP,或使用TTP計算ARR。例如,在嘗試使用公式(3)時發生的錯誤。
- RRA感覺更直觀,也更適合實驗室的計算機模擬或測試。另一方面,TPA迫使你以更能揭示放大器和反饋網絡之間相互作用的方式來剖析電路。
開放問題
你更喜歡哪種方法?大學課程是否應該涵蓋這兩種方法?對這兩種方法是應予以同樣的重視,還是應舍棄其中一種?如果要舍棄一種方法,會是哪種?歡迎發表意見!
本文轉載自電子技術設計。
推薦閱讀:



